Log in
Sign up for FREE
arrow_back
Library
3.4 Inverse Operations #1-12
By Mari Yahner
star
star
star
star
star
Share
share
Last updated about 2 years ago
12 questions
Add this activity
3.4 NOTES = ONLINE BOOK PAGE #78
3.4 video lesson (2 min)
1 point
1
Question 1
1.
addition
subtraction
multiplication
division
1 point
1
Question 2
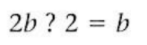
2.
addition
subtraction
multiplication
division
1 point
1
Question 3
3.
addition
subtraction
multiplication
division
1 point
1
Question 4
4.
addition
subtraction
multiplication
division
1 point
1
Question 5
5.
addition
subtraction
multiplication
division
1 point
1
Question 6
6.
addition
subtraction
multiplication
division
1 point
1
Question 7
7.
addition
subtraction
multiplication
division
1 point
1
Question 8
8.
addition
subtraction
multiplication
division
1 point
1
Question 9
9.
addition
subtraction
multiplication
division
1 point
1
Question 10
10.
addition
subtraction
multiplication
division
1 point
1
Question 11
11.
addition
subtraction
multiplication
division
1 point
1
Question 12
12.
addition
subtraction
multiplication
division