Log in
Sign up for FREE
arrow_back
Library
3.5 Solving Equations Using Subtraction #1-15
By Mari Yahner
star
star
star
star
star
Share
share
Last updated over 2 years ago
15 questions
Add this activity
1
1
1
1
1
1
1
1
1
1
1
1
1
1
1
3.5 NOTES = ONLINE BOOK PAGE #80.
Watch the VIDEO LESSON here and then answer the questions below.
Question 1
1.
Choose the correct step to solve the following equation.
subtract 6 from both sides
zero plus any number equals itself, so k=6
subtract k from both sides
Question 2
2.
Choose the correct step to solve the following equation.
subtract 2 from both sides
subtract 10 from both sides
subtract r from both sides
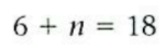
Question 3
3.
Choose the correct step to solve the following equation.
subtract n from both sides
subtract 18 from both sides
subtract 6 from both sides
Question 4
4.
Choose the correct step to solve the following equation.
subtract x from both sides
subtract 9 from both sides
subtract 10 from both sides
Question 5
5.
Choose the correct step to solve the following equation.
subtract 7 from both sides
subtract s from both sides
subtract 4 from both sides
Question 6
6.
Choose the correct step to solve the following equation.
subtract 7 from both sides
subtract z from both sides
subtract 3 from both sides
Question 7
7.
Choose the correct step to solve the following equation.
subtract x from both sides
subtract 4 from both sides
subtract -11 from both sides
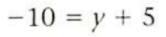
Question 8
8.
Choose the correct step to solve the following equation.
subtract 10 from both sides
subtract y from both sides
subtract 5 from both sides
Question 9
9.
Choose the correct step to solve the following equation.
subtract 4 from both sides
subtract 12 from both sides
subtract c from both sides
Question 10
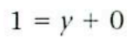
10.
Choose the correct step to solve the following equation.
zero plus any number equals itself, so y=1
subtract 1 from both sides
subtract y from both sides
Question 11
11.
Choose the correct step to solve the following equation.
subtract b from both sides
subtract 7 from both sides
subtract 3 from both sides
Question 12
12.
Choose the correct step to solve the following equation.
subtract 5 from both sides
subtract a from both sides
subtract -20 from both sides
Question 13
13.
Choose the correct step to solve the following equation.
subtract -13 from both sides
subtract b from both sides
subtract 8 from both sides
Question 14
14.
Choose the correct step to solve the following equation.
subtract -10 from both sides
subtract 6 from both sides
subtract x from both sides
Question 15
15.
Choose the correct step to solve the following equation.
subtract y from both sides
subtract 3 from both sides
subtract 8 from both sides