Log in
Sign up for FREE
arrow_back
Library
3.7 Solving Equations Using Multiplication #1-12
By Mari Yahner
star
star
star
star
star
Share
share
Last updated over 2 years ago
12 questions
Add this activity
1
1
1
1
1
1
1
1
1
1
1
1
3.7 NOTES = ONLINE BOOK PAGE #84
Watch the VIDEO LESSON here and then answer the questions below.
Question 1
1.
Choose the correct step to solve the following equation.
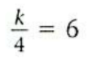
Multiply both sides of the equation by 6
Multiply both sides of the equation by 4
Multiply both sides of the equation by k
Question 2
2.
Choose the correct step to solve the following equation.
Multiply both sides of the equation by 2
Multiply both sides of the equation by b
Multiply both sides of the equation by 5
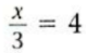
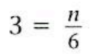
Question 3
3.
Choose the correct step to solve the following equation.
Multiply both sides of the equation by n
Multiply both sides of the equation by 3
Multiply both sides of the equation by 6
Question 4
4.
Choose the correct step to solve the following equation.
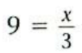
Multiply both sides of the equation by x
Multiply both sides of the equation by 3
Multiply both sides of the equation by 9
Question 5
5.
Choose the correct step to solve the following equation.
Multiply both sides of the equation by -7
Multiply both sides of the equation by s
Multiply both sides of the equation by 4
Question 6
6.
Choose the correct step to solve the following equation.
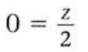
Multiply both sides of the equation by 2
Multiply both sides of the equation by 0
Multiply both sides of the equation by z
Question 7
7.
Choose the correct step to solve the following equation.
Multiply both sides of the equation by x
Multiply both sides of the equation by 4
Multiply both sides of the equation by 5
Question 8
8.
Choose the correct step to solve the following equation.
Multiply both sides of the equation by 8
Multiply both sides of the equation by y
Multiply both sides of the equation by -5
Question 9
9.
Choose the correct step to solve the following equation.
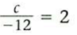
Multiply both sides of the equation by c
Multiply both sides of the equation by -12
Multiply both sides of the equation by 2
Question 10
10.
Choose the correct step to solve the following equation.
Multiply both sides of the equation by 3
Multiply both sides of the equation by 4
Multiply both sides of the equation by x
Question 11
11.
Choose the correct step to solve the following equation.
Multiply both sides of the equation by y
Multiply both sides of the equation by 5
Multiply both sides of the equation by -10
Question 12
12.
Choose the correct step to solve the following equation.
Multiply both sides of the equation by a
Multiply both sides of the equation by -3
Multiply both sides of the equation by 2