Log in
Sign up for FREE
arrow_back
Library
3.9 Solving Equations Using More Than One Operation #1-12
By Mari Yahner
star
star
star
star
star
Share
share
Last updated over 2 years ago
12 questions
Add this activity
1
1
1
1
1
1
1
1
1
1
1
1
3.9 NOTES = ONLINE BOOK PAGE #88
VIDEO LESSON (2 min)
Question 1
1.
Solve the equation for x.
x = 2
x = 4
x = 14
Question 2
2.
Solve the equation for x.
x = 1
x = 7
x = 3
Question 3
3.
Solve the equation for z.
z = 1
z = 7
z = 3
Question 4
4.
Solve the equation for y.
y = 6
y = 8
y = -3
Question 5
5.
Solve the equation for c.
c = -28
c = 0
c = 28
Question 6
6.
Solve the equation for c.
c = 2
c = -2
c = 4
Question 7
7.
Solve the equation for u.
u = 2
u = -2
u = 4
Question 8
8.
Solve the equation for y.
y = -21
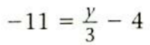
y = 45
y = 5
Question 9
9.
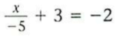
Solve the equation for x.
x = 25
x = -30
x = -5
Question 10
10.
Solve the equation for n.
n = 4
n = -19
n = -5
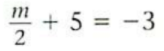
Question 11
11.
Solve the equation for m.
m = 4
m = -16
m = -5
Question 12
12.
Solve the equation for y.
y = -4
y = 6
y = 5