Log in
Sign up for FREE
arrow_back
Library
Chapter 3 Review #1-25
By Mari Yahner
star
star
star
star
star
Share
share
Last updated over 2 years ago
25 questions
Add this activity
1
1
1
1
1
1
1
1
1
1
1
1
1
1
1
1
1
1
1
1
1
1
1
1
1
Chapter 3 NOTES = ONLINE BOOK PAGE #100
Question 1
1.
Is the number given a solution to the equation below?
yes
no
Question 2
2.
Is the number given a solution to the equation below?
yes
no
Question 3
3.
Is the number given a solution to the equation below?
yes
no
Question 4
4.
Choose the step that shows that the equations below are equivalent.
substitute 9 for b in the second equation; resulting in 27 = 27 proving the equations equivalent
substitute 9 for b in the second equation; resulting in 12 = 27 proving the equations equivalent
Question 5
5.
Choose the step that shows that the equations below are equivalent.
substitute 14 for w in the second equation; resulting in 22 = 22 proving the equations equivalent
substitute -14 for w in the second equation; resulting in -6 = -6 proving the equations equivalent
Question 6
6.
Choose the step that shows that the equations below are equivalent.
substitute 2 for b in the second equation; resulting in 9 = 9 proving the equations equivalent
substitute 2 for b in the second equation; resulting in 3 = 3 proving the equations equivalent
Question 7
7.
Choose the
operation
that makes the equations below equivalent.
addition
subtraction
multiplication
division
Question 8
8.
Choose the
number
that makes the equations below equivalent.
5
6
15
Question 9
9.
Choose the
operation
that makes the equations below equivalent.
addition
subtraction
multiplication
division
Question 10
10.
Choose the
operation
that makes the equation true.
addition
subtraction
multiplication
division
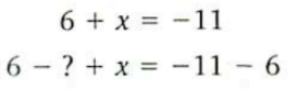
Question 11
11.
Choose the
operation
that makes the equation true.
addition
subtraction
multiplication
division
Question 12
12.
Choose the
operation
that makes the equation true.
addition
subtraction
multiplication
division
Question 13
13.
Solve for x.
x = 24
x = 16
x = -5
Question 14
14.
Solve for a.
a = 12
a = -33
a = -7
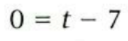
Question 15
15.
Solve for t.
t = 0
t = 7
t = -7
Question 16
16.
Solve for t.
t = 80
t = 7
t = -5
Question 17
17.
Solve for x.
x = -15
x = 8
x = 5
Question 18
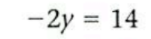
18.
Solve for y.
y = -10
y = -21
y = 9
Question 19
19.
Solve for y.
y = -15
y = 2
y = 5
Question 20
20.
Solve for w.
w = -15
w = 12
w = 18
Question 21
21.
Solve for x.
x = 3
x = 8
x = -12
Question 22
22.
Solve.
37
45
29
Question 23
23.
Solve.
79
56
100
Question 24
24.
Solve.
$7.95
$8
$10
Question 25
25.
Solve.
$8.50
$9.00
$7.25