Log in
Sign up for FREE
arrow_back
Library

5.5 Parallel and Perpendicular Lines #1-6

star
star
star
star
star
Last updated over 2 years ago
6 questions
1
1
1
1
1
1
5.5 NOTES = ONLINE BOOK PAGE #136
Video Lesson on PARALLEL Slope and Lines

PARALLEL lines have EQUAL SLOPES. So if one line has a slope of 2/3, then a parallel line has a slope of 2/3.
Video Lesson on PERPENDICULAR Slopes and Lines

PERPENDICULAR LINES have slopes that are NOT EQUAL. They are OPPOSITE IN SIGN (if one is negative the other is positive; if one is positive the other is negative) AND they are FLIPPED (reciprocals). So if one line has a slope of 2/3 then a perpendicular line has a slope of - 3/2
Question 1
1.

Tell whether the following pairs of points are PARALLEL, PERPENDICULAR, or NEITHER. *HINT: calculate the slope.


Question 2
2.

Tell whether the following pairs of points are PARALLEL, PERPENDICULAR, or NEITHER. *HINT: calculate the slope.


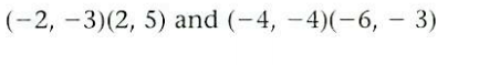
Question 3
3.

Tell whether the following pairs of points are PARALLEL, PERPENDICULAR, or NEITHER. *HINT: calculate the slopes.



Question 4
4.

Tell whether the following pairs of points are PARALLEL, PERPENDICULAR, or NEITHER. *HINT: calculate the slope.



Question 5
5.

Tell whether the following pairs of points are PARALLEL, PERPENDICULAR, or NEITHER. *HINT: calculate the slope.



Question 6
6.

Tell whether the following pairs of points are PARALLEL, PERPENDICULAR, or NEITHER. *HINT: calculate the slope.