12.5 More Multiplication #1-9
star
star
star
star
star
Last updated about 2 years ago
9 questions

1
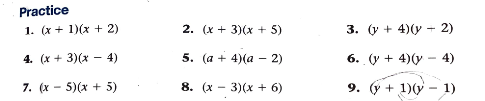
Use FOIL to multiply the binomials.FOIL= .First.Outside.Inside.Last.
Use FOIL to multiply the binomials.
FOIL= .First.Outside.Inside.Last.
1
Use FOIL to multiply the binomials.FOIL= .First.Outside.Inside.Last.
Use FOIL to multiply the binomials.
FOIL= .First.Outside.Inside.Last.
1
Use FOIL to multiply the binomials.FOIL= .First.Outside.Inside.Last.
Use FOIL to multiply the binomials.
FOIL= .First.Outside.Inside.Last.
1
Use FOIL to multiply the binomials.FOIL= .First.Outside.Inside.Last.
Use FOIL to multiply the binomials.
FOIL= .First.Outside.Inside.Last.
1
Use FOIL to multiply the binomials.FOIL= .First.Outside.Inside.Last.
Use FOIL to multiply the binomials.
FOIL= .First.Outside.Inside.Last.
1
Use FOIL to multiply the binomials.FOIL= .First.Outside.Inside.Last.
Use FOIL to multiply the binomials.
FOIL= .First.Outside.Inside.Last.
1
Use FOIL to multiply the binomials.FOIL= .First.Outside.Inside.Last.
Use FOIL to multiply the binomials.
FOIL= .First.Outside.Inside.Last.
1
Use FOIL to multiply the binomials.FOIL= .First.Outside.Inside.Last.
Use FOIL to multiply the binomials.
FOIL= .First.Outside.Inside.Last.
1
Use FOIL to multiply the binomials.FOIL= .First.Outside.Inside.Last.
Use FOIL to multiply the binomials.
FOIL= .First.Outside.Inside.Last.