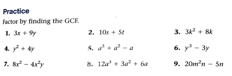
12.7 Factoring by Finding the Greatest Common Factor #1-9
star
star
star
star
star
Last updated about 2 years ago
9 questions

1
Find the Greatest Common Factor (GCF).
Find the Greatest Common Factor (GCF).
1
Find the Greatest Common Factor (GCF).
Find the Greatest Common Factor (GCF).
1
Find the Greatest Common Factor (GCF).
Find the Greatest Common Factor (GCF).
1
Find the Greatest Common Factor (GCF).
Find the Greatest Common Factor (GCF).
1
Find the Greatest Common Factor (GCF), then factor.
Find the Greatest Common Factor (GCF), then factor.
1
Find the Greatest Common Factor (GCF), then factor.
Find the Greatest Common Factor (GCF), then factor.
1
Find the Greatest Common Factor (GCF), then factor.
Find the Greatest Common Factor (GCF), then factor.
1
Find the Greatest Common Factor (GCF), then factor.
Find the Greatest Common Factor (GCF), then factor.
1
Find the Greatest Common Factor (GCF), then factor.
Find the Greatest Common Factor (GCF), then factor.