Log in
Sign up for FREE
arrow_back
Library
12.11 Using the Zero Product Property #1-6
By Mari Yahner
star
star
star
star
star
Share
share
Last updated about 2 years ago
6 questions
Add this activity
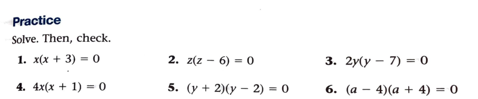
1
2
3
4
5
6
zoom_in
1 point
1
Question 1
1.
Solve.
x=0,3
x=0,-3
x=0,1/3
1 point
1
Question 2
2.
Solve.
z=0,6
z=0,-6
z=0,1/6
1 point
1
Question 3
3.
Solve.
y=2,7
y=0,-7
y=0,7
1 point
1
Question 4
4.
Solve.
x=0,-1
x=4,1
x=0,1
1 point
1
Question 5
5.
Solve.
y=2,-2
y=1/2,-1/2
y=4
1 point
1
Question 6
6.
Solve.
a=4
a=4,-4
a=8