Log in
Sign up for FREE
arrow_back
Library

Introducing Proprotional Relationships

star
star
star
star
star
Last updated over 4 years ago
10 questions
1
1
1
1
1
1
1
1
1
1
Question 1
1.

Question 2
2.

Question 3
3.

Question 4
4.

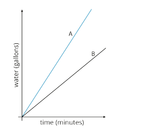
The two lines represent the amount of water, over time, in two tanks that are the same size. Which container is filling more quickly? Explain how you know using the word "slope" in your answer.

Question 5
5.

The table shows the weights of apples at a grocery store. Complete the table so that there is a proportional relationship between the number of apples and their weight. What is the weight of 2 apples?

Question 6
6.

The table shows the weights of apples at a grocery store. Complete the table so that there is a proportional relationship between the number of apples and their weight. What is the weight of 12 apples?

Question 7
7.

The equation F=9/5C+32 relates temperature measured in degrees Celsius, C , to degrees Fahrenheit, F . Determine whether there is a proportional relationship between C and F . Explain or show your reasoning.

Question 8
8.

A recipe for salad dressing calls for 3 tablespoons of oil for every 2 tablespoons of vinegar. The line represents the relationship between the amount of oil and the amount of vinegar needed to make salad dressing according to this recipe. The point (1,1.5) is on the line. Write an equation that represents the proportional relationship between oil and vinegar. Indicate the meaning of each variable.

Question 9
9.

A recipe for salad dressing calls for 3 tablespoons of oil for every 2 tablespoons of vinegar. The line represents the relationship between the amount of oil and the amount of vinegar needed to make salad dressing according to this recipe. The point (1,1.5) is on the line. Explain the meaning of the point in terms of the situation.

Question 10
10.

Which graph represents a proportional relationship?
A
B
C
D
The graph shows the cost C in dollars of w pounds of blueberries, a proportional relationship. Select all the true statements.
A. 1 pound of blueberries costs $2.75.
B. 2.75 pounds of blueberries cost $1.
C. 5 pounds of blueberries cost $15.50.
D. 12 pounds of blueberries cost $33.
E. The point is on the graph of the proportional relationship.
Andre rode his bike at a constant speed. He rode 1 mile in 5 minutes. Which of these equations represents the amount of time t (in minutes) that it takes him to ride a distance of d miles?
t=5d
t=1/5 d
t=d+4
t=d-4
Which table represents a proportional relationship?
A
B
C
D