Log in
Sign up for FREE
arrow_back
Library

Solving and Justifying Multi-Step Equations

star
star
star
star
star
Last updated almost 4 years ago
11 questions
1
1
1
1
1
1
1
1
1
1
1
Question 1
1.

Check all the expressions that are equivalent to

Question 2
2.

Match each set of steps with the property that explains why the two equations are equivalent.

Draggable itemarrow_right_altCorresponding Item
arrow_right_alt
arrow_right_alt
arrow_right_alt
arrow_right_alt
arrow_right_alt
arrow_right_alt
Question 3
3.

Question 4
4.

Question 5
5.

Find the perimeter of the equilateral triangle.

Question 6
6.

Solve for x

Question 7
7.

Solve for b

Question 8
8.

Solve for v

Question 9
9.

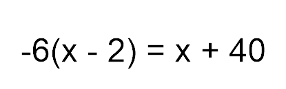
Solve for x

Question 10
10.

Solve for x

Question 11
11.

Solve for n

5x = 4 + 2x
3x = 24
Not Equal
18 = 3x - 6 + x
18 = 4x - 6
Commutative Property
-3(2x + 9) = 12
2x + 9 = -4
Division Property of Equality
16 = 4(9 - x)
16 = 36 - 4x
Subtraction Property of Equality
5x = 3 - x
5x = -x + 3
Distributive Property
5x = 20
4 - 5x = 24
Combine Like Terms
Did this student go from the first step to the second step correctly? Select all that are true.

9x = 5x + 4
14x = 4
The student should have multiplied the 5x by the 9x.
The student is correct.
The student is incorrect.
The student should have added 4 and 9.
The student should have subtracted 9 from 4.
The student should have subtracted 5x.
Did this student go from the first step to the second step correctly? Select all that are true.

-11(x - 2) = 8
x - 2 = 8 + 11
The student is correct.
The student should have divided by 8.
The student is incorrect.
The student should have subtracted the 11.
The student should have divided by -11.
The student should have subtracted the 8.
The student should have added the two.