HW PEMDAS & Solving Equations
star
star
star
star
star
Last updated over 2 years ago
15 questions
1
Use the order of operations to simplify:
Use the order of operations to simplify:
1
Use the order of operations to simplify:
Enter your answer as a simplified fraction.
Use the order of operations to simplify:
Enter your answer as a simplified fraction.
1
Use the order of operations to simplify:
Use the order of operations to simplify:
1
Use the order of operations to simplify:
Use the order of operations to simplify:
1
Use the order of operations to simplify:
Use the order of operations to simplify:
1
Use the order of operations to simplify:
Use the order of operations to simplify:
1
Use the order of operations to simplify:
Use the order of operations to simplify:
1
Solve the equation.
Solve the equation.
1
Solve the equation.
Solve the equation.
1
Solve the equation. Enter your answer as a decimal.
Solve the equation.
Enter your answer as a decimal.
1
Solve the equation.
Solve the equation.
1
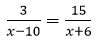
Solve the equation.
Solve the equation.
1
Solve the equation.
Solve the equation.
1
To clear all the fractions in this problem, you would...
To clear all the fractions in this problem, you would...
1
Solve the equation.
Solve the equation.