Lesson 10
star
star
star
star
star
Last updated 3 months ago
15 questions

1
Use digits to write the number
Use digits to write the number

1
Use words to write what this number is
Use words to write what this number is
1
1
1
1
1
1
1
1
(just the answer)
(just the answer)
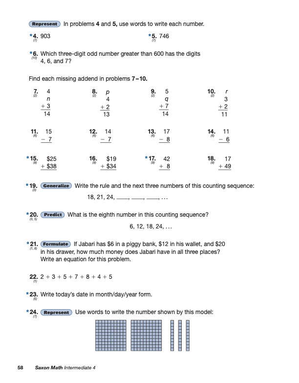
1
1

1
1
(will have 4 answers)
(will have 4 answers)
1