Log in
Sign up for FREE
arrow_back
Library
2.3 (Day 2) Opener
By Faith Draper
star
star
star
star
star
Share
share
Last updated over 2 years ago
8 questions
Add this activity
1 point
1
Question 1
1.
1 point
1
Question 2
2.
1 point
1
Question 3
3.
1 point
1
Question 4
4.
1 point
1
Question 5
5.
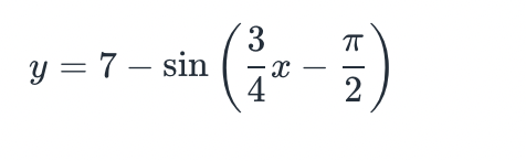
Amplitude:
1 point
1
Question 6
6.
Vertical Shift:
1 point
1
Question 7
7.
Phase Shift:
1 point
1
Question 8
8.
Period: