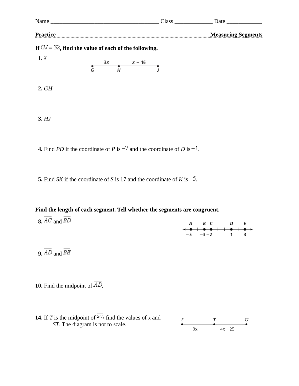
1.1 Segment Addition Postulate with Midpoint
star
star
star
star
star
Last updated over 4 years ago
13 questions
Steps to Success!!
1. Identify the given/question (What information did it give me and what did it ask)
2. Setup the equation (how can I use the given information to answer to answer the question)
3. Solve the equation (Don't Call Me After Midnight)
Distribute, Combine Like Terms, Move the Variable, Add/Subtract, Multiply/Divide
4. Does it make sense? (Did you answer the question and is it reasonable)
**Midpoint is in the middle and separates into two congruent (equal parts)**

1
x = ?
x = ?
1
ST = ?
ST = ?

1
x = ?
x = ?
1
AB = ?
AB = ?

1
x = ?
x = ?
1
x = ?
x = ?
1
FG = ?
FG = ?
1
x = ?
x = ?
1
QS = ?
QS = ?
1
x = ?
x = ?
1
BC = ?
BC = ?
1
x = ?
x = ?
1
EG = ?
EG = ?