Log in
Sign up for FREE
arrow_back
Library

Unit 1 Quiz

star
star
star
star
star
Last updated almost 3 years ago
22 questions
Note from the author:
1
1
1
2
2
2
1
2
2
1
1
1
2
1
1
3
1
1
1
1
1
1
You must upload your work for the 4 questions that say "Show Your Work" to get credit. You will also turn in your work paper to the basket on the back wall after you submit the Quiz.
You must upload your work for the 4 questions that say "Show Your Work" to get credit. You will also turn in your work paper to the basket on the back wall after you submit the Quiz.
Question 1
1.

Evaluate:

Question 2
2.

Does the following represent a function?

Question 3
3.

Does the following represent a function?

Question 4
4.

Select ALL the graphs that represent functions.

Question 5
5.

Solve using substitution.
Enter your answer as an ordered pair (x,y). Decimals or fractions are acceptable.

Question 6
6.

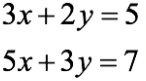
Solve using elimination.

Enter your answer as an ordered pair (x,y).

Question 7
7.

The following system of equations is graphed below. What is the solution?

Enter your answer as an ordered pair (x,y).

Question 8
8.

Write the equation of the line in the graph in y=mx+b form.

Question 9
9.

Write the equation in slope-intercept form y=mx+b.

Question 10
10.

Let f(x)=x^2-3x. Evaluate f(2).

Question 11
11.

Let h(x)=-3x-9. Find x when h(x)=-15.

Question 12
12.

The graph below shows the temperature of an oven as a function of time.
Use the graph to find what f(7)=

Question 13
13.

Write an equation for a line that goes through points (2,5) and (0,-5).
Write your answer in y=mx+b form.

Question 14
14.

The cost (C) of a burger at In-n-Out based on the number of extra patties (p) is represented by the function C(p)=1.20p+2.85. What is the slope of this function, and what does it represent?

Question 15
15.

Which point is a solution to the system of inequalities graphed below?

Question 16
16.

A long, long time ago, there were a thing called "Movie Theaters." A group went to the movies and spent $13 on each adult ticket and $7 on each child ticket. They purchased 26 tickets total and spent $242. How many children went to the movies?


Question 17
17.

A student tried to graph a system of inequalities but made a mistake! What was their mistake?

Question 18
18.

An electrician charges $100 to come to your house, and then $30 per hour of work. Which function represents the cost of the electrician based on the number of hours he worked, x?

Question 19
19.

An electrician charges a $100 fee to come to your house, and then $30 per hour of work. The initial fee to come to the house represents the:

Question 20
20.

An electrician charges $100 to come to your house, and then $30 per hour of work. The cost per hour represents the:

Question 21
21.

What is the domain?

Write your answer using interval notation, no spaces.

Question 22
22.

What is the range?

Write your answer using interval notation, no spaces.

$1.20, the amount that it costs for each additional patty