Log in
Sign up for FREE
arrow_back
Library

Domain and Range of Piecewise Functions

star
star
star
star
star
Last updated over 3 years ago
12 questions
Note from the author:
1
1
1
1
1
1
1
1
1
1
1
1
Clyde A Erwin High Domain and Range of Piecewise Functions
Question 1
1.

Draggable itemarrow_right_altCorresponding Item
arrow_right_alt
arrow_right_alt
arrow_right_alt
arrow_right_alt
Question 2
2.

Question 3
3.

Question 4
4.

How many intervals would you have to write for the range of this graph?

Question 5
5.

How many intervals would you have to write for the domain of this graph?

Question 6
6.

Question 7
7.

Question 8
8.

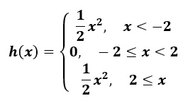
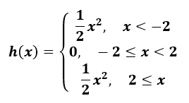
Graph the piecewise function given below (remember to use absolute value bars | | for the middle rule!). Then, type in the domain for the whole function below.

Question 9
9.

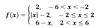
Graph the piecewise function given below (remember to use absolute value bars | | for the middle rule!). Then, type in the range for the whole function below.

Question 10
10.

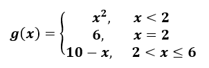
What is the only positive whole number that is not included in the range for the graph of this rule?

Question 11
11.

Question 12
12.

Match these symbolic notation statements with their interval matches:
Find the domain and range for the graph below:
Domain:
Range:
Domain:
Range:
Domain:
Range:
Domain:
Range:
Determine the domain and range of the piecewise function graphed:
Domain: [-1, 1], Range: [0, 1]
Domain: [-3, 1]; Range: [-1, 3]
Domain: (-3, 1); Range: (-1, 3)
Domain: [-1, 3]; Range: [-3, 1]
Which is the correct range for the graph?
[-1, +infinity)
(-1, +infinity)
(-infinity, +infinity)
[4, +infinity)
Graph the piecewise function below in Desmos. Then find the statement below with the correct domain and range.
Domain:
Range:
Domain:

Range:
Domain:
Range:
Domain:
Range:
What is the domain for the function?
What is the range for the function?