Log in
Sign up for FREE
arrow_back
Library
Warmup Simplifying Radicals
By Marissa Considine
star
star
star
star
star
Share
share
Last updated almost 3 years ago
5 questions
Add this activity
1
1
1
1
1
Question 1
1.
Simplify the radical.
Question 2
2.
Simplify the radical.
Question 3
3.
Simplify the radical.
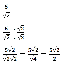
Rationalizing the denominator:
Question 4
4.
Rationalize the denominator and simplify completely.
Question 5
5.
Rationalize the denominator and simplify completely.