Log in
Sign up for FREE
arrow_back
Library

Practice: Distributive Property and Algebraic Identities

star
star
star
star
star
Last updated almost 3 years ago
8 questions
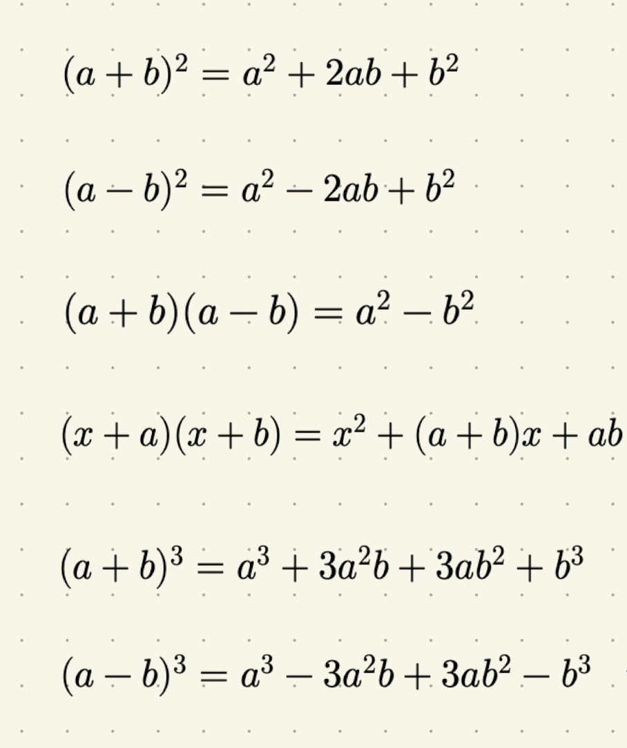
Special Algebraic Identities
1
Question 4
4.

How can you solve the following multiplication problem using identities? (Do not multiply directly.)

Expand the following using identities.
1
Question 1
1.

1
Question 2
2.

1
Question 3
3.

What binomials were expanded to get the following expressions?
1
Question 5
5.

1
Question 6
6.

1
Question 7
7.

1
Question 8
8.