Log in
Sign up for FREE
arrow_back
Library
8.F.5
By Tracie Lail
star
star
star
star
star
Share
share
Last updated about 2 hours ago
12 questions
Add this activity
zoom_in
1
zoom_in
1
Question 1
1.
A
B
C
D
2
3
zoom_in
1
Question 2
2.
A
B
C
D
1
4
5
zoom_in
1
Question 4
4.
A
B
C
D
1
6
zoom_in
1
Question 6
6.
A
B
C
D
7
zoom_in
1
Question 7
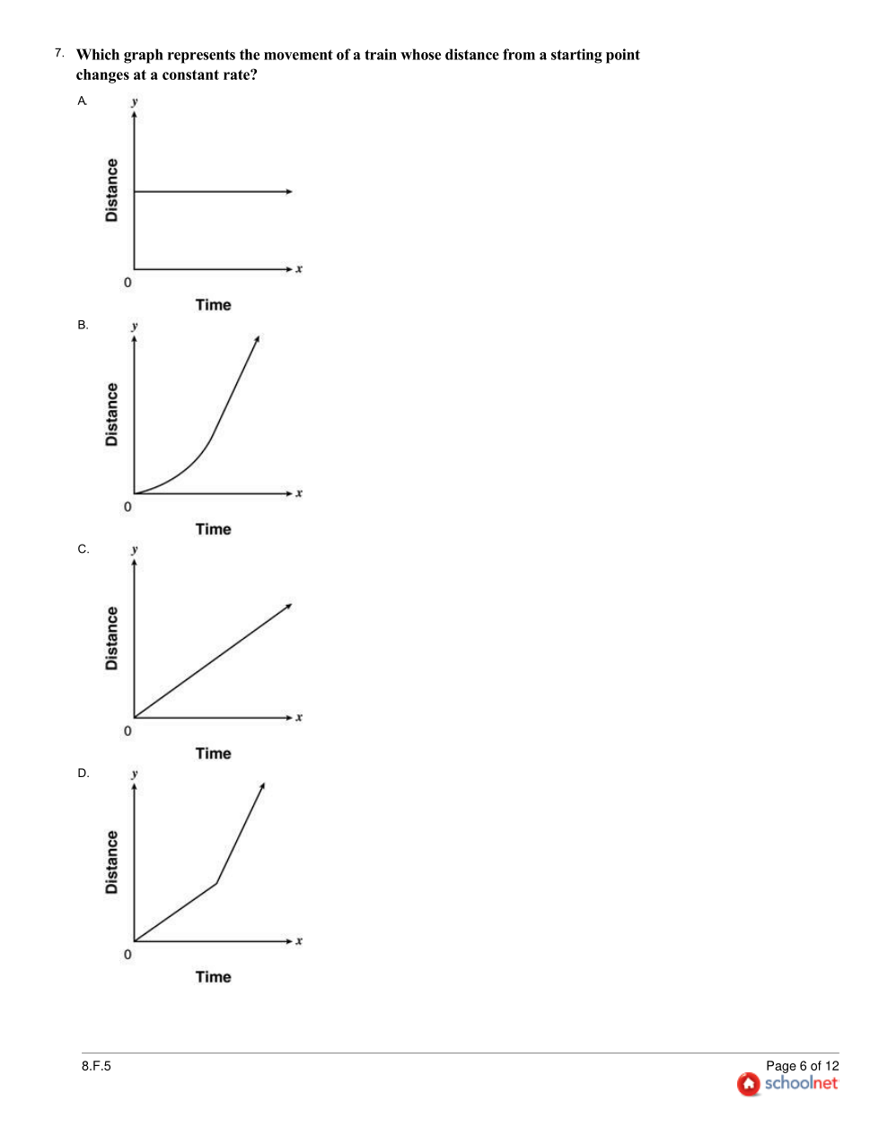
7.
A
B
C
D
8
zoom_in
1
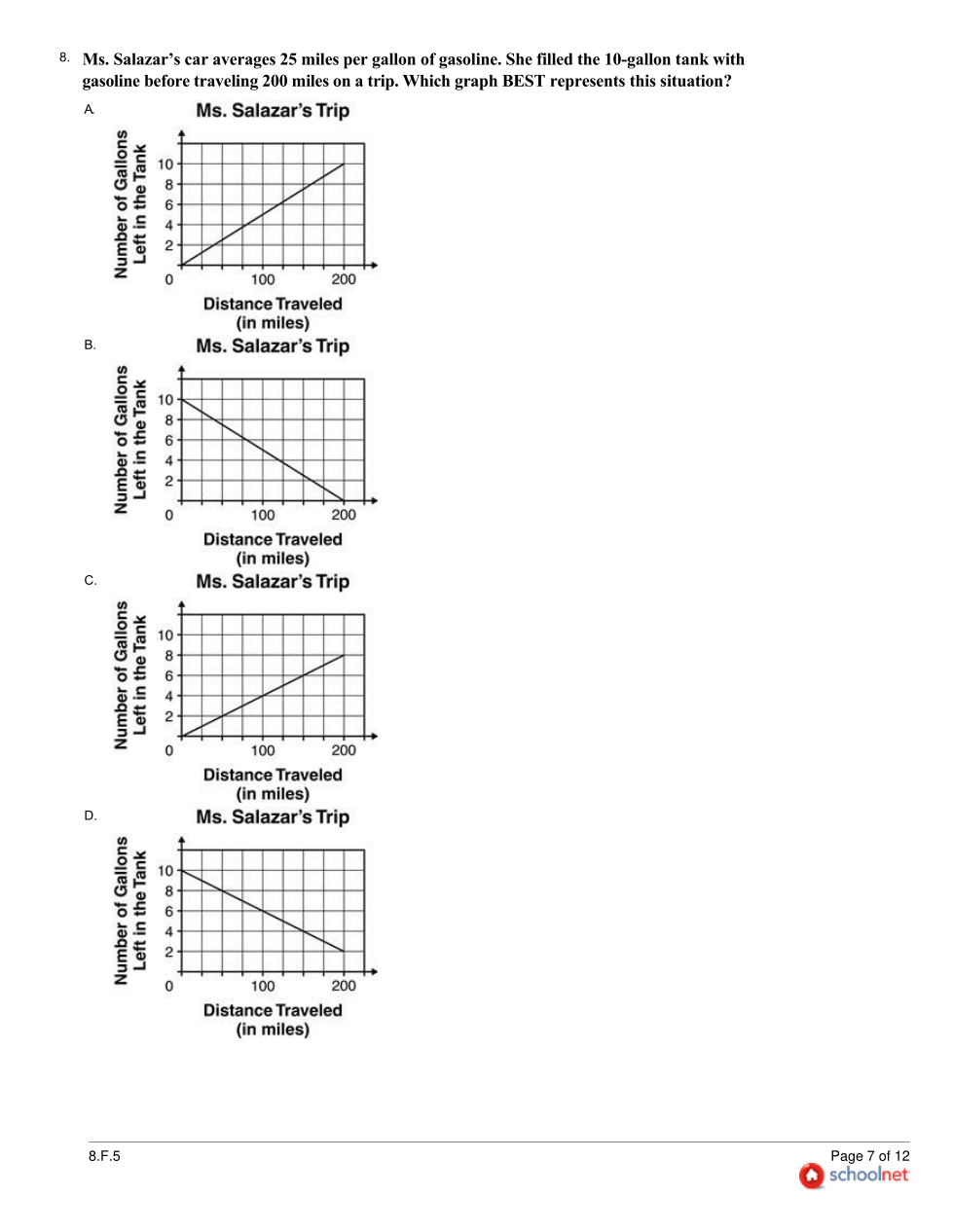
Question 8
8.
A
B
C
D
9
zoom_in
1
Question 9
9.
A
B
C
D
10
11
zoom_in
1
Question 10
10.
A
B
C
D
1
12
zoom_in
1
Question 12
12.
A
B
C
D
zoom_in
Question 3
3.
A
B
C
D
Question 5
5.
A
B
C
D
Question 11
11.
A
B
C
D