Log in
Sign up for FREE
arrow_back
Library
8.F.2
By Tracie Lail
star
star
star
star
star
Share
share
Last updated about 2 hours ago
10 questions
Add this activity
1
zoom_in
1
Question 1
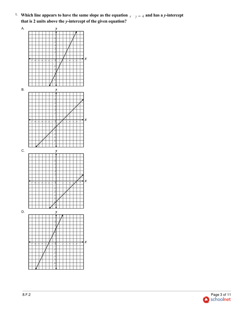
1.
A
B
C
D
2
zoom_in
1
Question 2
2.
A
B
C
D
3
4
zoom_in
1
Question 3
3.
A
B
C
D
1
zoom_in
5
zoom_in
1
Question 5
5.
A
B
C
D
6
zoom_in
1
Question 6
6.
A
B
C
D
7
8
zoom_in
1
Question 7
7.
A
B
C
D
1
9
zoom_in
1
Question 9
9.
A
B
C
D
10
zoom_in
1
Question 10
10.
A
B
C
D
Question 4
4.
A
B
C
D
Question 8
8.
A
B
C
D