Log in
Sign up for FREE
arrow_back
Library

Unit 2 Partner Quiz

star
star
star
star
star
Last updated almost 3 years ago
18 questions
Note from the author:
0
1
1
4
1
1
1
1
1
1
1
3
1
1
1
1
1
1

If you do not upload work where it asks, you will not get credit for that question!

If you do not upload work where it asks, you will not get credit for that question!

Question 1
1.

Type your name AND the name of your partner.

Question 2
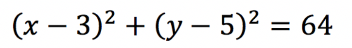
2.

Which is the correct equation for the circle below?

Question 3
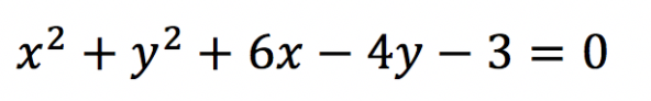
3.

This equation represents which graph?

Question 4
4.

Classify each as either: a line, a circle, a parabola in vertex form, or a parabola in standard form

Draggable itemarrow_right_altCorresponding Item
arrow_right_alt
circle
arrow_right_alt
line
arrow_right_alt
arrow_right_alt
Question 5
5.

Re-write the equation of the circle in standard form. Then identify the CENTER.
Write your answer in the form (x,y) with no spaces.

Question 6
6.

Type the vertex in the answer box. Then graph the quadratic function.

There must be at least 3 clear points on the graph.

Question 7
7.

Type the vertex in the answer box. Then graph the quadratic function.

There must be at least 3 clear points on the graph.

Question 8
8.

A rocket is launched from a platform and models the path of the function below. h(t) represents the rockets' height, in feet, and t represents time since launch in seconds.



What is the starting height of the rocket when it is first launched?

Question 9
9.

What is the quadratic equation for the graph?

Question 10
10.

What is the domain of the parabola?

Question 11
11.

What is the range of the parabola?

Question 12
12.

Question 13
13.

The value of Wendy's stock portfolio is given by the function below, where "v" is the value of the portfolio in dollars & "t" is the time in months. What is the maximum value of her portfolio?

Question 14
14.

A frustrated Algebra 2 student accidently dropped his calculator from the top of Lancer Arena which is 52 feet above the ground. Luckily, it nearly missed your math teacher. How long did it take to hit the ground?

Round your answer to the nearest TENTH.

Question 15
15.

Solve using the square root method.


NO WORK = NO CREDIT

Question 16
16.

Solve this trinomial by factoring. List your answers with a comma like: -1,3


NO WORK = NO CREDIT

Question 17
17.

Solve this binomial by factoring out the GCF. List your answers with a comma like: -1,3

NO WORK = NO CREDIT

Question 18
18.

Solve using the square root method.


NO WORK = NO CREDIT

parabola in standard form
parabola in vertex form
Select ALL that have a minimum value.