Log in
Sign up for FREE
arrow_back
Library

Unit 2 Day 2 Quiz Review

star
star
star
star
star
Last updated almost 3 years ago
15 questions
4
1
1
1
1
1
1
1
1
1
1
1
1
1
1
Question 1
1.

Draggable itemarrow_right_altCorresponding Item
arrow_right_alt
arrow_right_alt
arrow_right_alt
arrow_right_alt
Question 2
2.

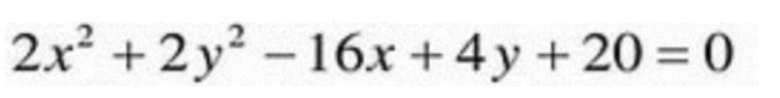
Write the equation of the circle in the graph.

Question 3
3.

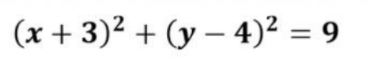
Type the center of the circle in the answer box and graph it.

Question 4
4.

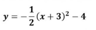
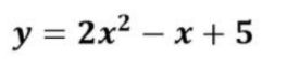
Write the equation in standard form. Then IDENTIFY THE CENTER.

*Make sure you enlarge the picture of your work! (drag the corner to make it bigger)

Question 5
5.

Type the vertex in the answer box and graph the function.
Your graph must show at least 3 clear points.

Question 6
6.

Type the vertex in the answer box and graph the function.
Your graph must show at least 3 clear points.

Question 7
7.

What is the domain of the parabola?

Question 8
8.

What is the range of the parabola?

Question 9
9.

Julian threw a football off a 90 ft cliff. The path of the football is represented by the function h(t)=-16t^2+90. How long did it take for the footbal to hit the ground?
Round your answer to the nearest tenth.

Question 10
10.

The price of Nike stock over the course of one year is modeled by the Quadratic function below, where t represents the time in months and v represents the value of the stock price. During which month did Nike stock hit its MINIMUM value?

Question 11
11.

What was Nike's minimum stock value?

Question 12
12.

What was the starting (initial) value of Nike's stock?

Question 13
13.

Solve using the square root method.

Question 14
14.

Solve the binomial by factoring out the GCF. List your answers with a comma like: -1,3

Question 15
15.

Solve the trinomial by factoring. List your answers with a comma like: -1,3

Classify each.
a line
a circle
a parabola in standard form
a parabola in vertex form