Unit 3 - Algebra1 - 3.1 - Summative
star
star
star
star
star
Last updated about 4 years ago
4 questions

3
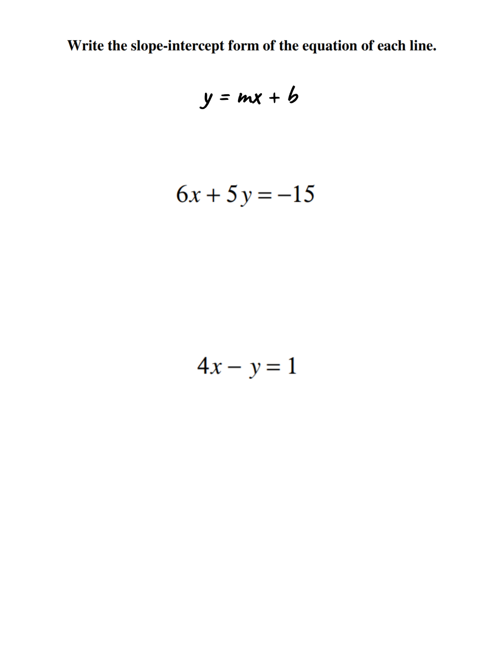
Step 1 - Show All Work
Step 1 - Show All Work
2
Step 2 - Now that you have re-written your equation into Slope-Intercept Form, select the best equation below that reresents the correct answer.
Step 2 - Now that you have re-written your equation into Slope-Intercept Form, select the best equation below that reresents the correct answer.
3
Step 1 - Show All Work
Step 1 - Show All Work
2
Step 2 - Now that you have re-written your equation into Slope-Intercept Form, select the best equation below that reresents the correct answer.
Step 2 - Now that you have re-written your equation into Slope-Intercept Form, select the best equation below that reresents the correct answer.