Unit 3 Review
star
star
star
star
star
Last updated over 2 years ago
32 questions
1
Select the transformation for the function g(x) from the parent function f(x)=x^3 and click "show your work" to graph g(x).
Select the transformation for the function g(x) from the parent function f(x)=x^3 and click "show your work" to graph g(x).
1
Graph the function below and select the point that lies on the curve.
Graph the function below and select the point that lies on the curve.
1
Select ALL the transformations for the function g(x) from the parent function f(x)=x^3 and click "show your work" to graph g(x).
Select ALL the transformations for the function g(x) from the parent function f(x)=x^3 and click "show your work" to graph g(x).
1
Select ALL the transformations for the function g(x) from the parent function f(x)=x^3 and click "show your work" to graph g(x).
Select ALL the transformations for the function g(x) from the parent function f(x)=x^3 and click "show your work" to graph g(x).
1
Match each polynomial function with its correct end behavior.*remember to add the exponents to find the degree in factored form
Match each polynomial function with its correct end behavior.
*remember to add the exponents to find the degree in factored form
- f(x)=x^2(x-7)^2
- f(x)=(x+4)^2(x-1)
- f(x)=-x(x+5)(x-4)(x+6)
- f(x)=-(x+1)(x-3)^2(x+2)
- f(x)=(x+2)(x+6)(x-2)
- f(x)=-x(x+3)^2
1
Select ALL the zeros of f(x) and graph the function.
Select ALL the zeros of f(x) and graph the function.
1
Write a function in factored form for the graph below. Assume the leading coefficient 'a' is either 1 or -1.
Type f(x)=
Write a function in factored form for the graph below. Assume the leading coefficient 'a' is either 1 or -1.
Type f(x)=
1
Write a function in factored form for the graph below. Assume the leading coefficient 'a' is either 1 or -1.
Type f(x)=
Write a function in factored form for the graph below. Assume the leading coefficient 'a' is either 1 or -1.
Type f(x)=
1
Select ALL the functions that could be represented by this graph.
Select ALL the functions that could be represented by this graph.
1
Simplify and write your answer in standard form. No spaces!
Simplify and write your answer in standard form. No spaces!
1
Simplify and write your answer in standard form. No spaces!
Simplify and write your answer in standard form. No spaces!
1
Factor completely.
Factor completely.
1
Factor completely.
Factor completely.
1
Factor completely.
Factor completely.
1
Factor completely.
Factor completely.
1
Factor completely.
Factor completely.
1
Factor completely.
Factor completely.
1
Factor completely.
Factor completely.
1
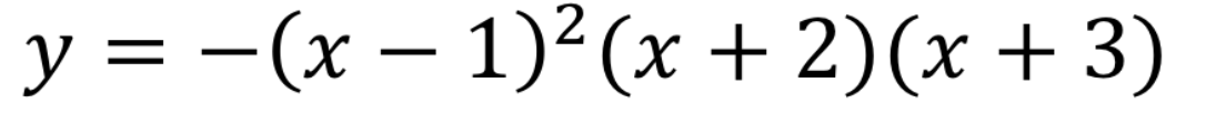
Find the zeros.
Find the zeros.
1
1
Use the rational root theorem to list ALL possible zeros for the polynomial.
Use the rational root theorem to list ALL possible zeros for the polynomial.
1
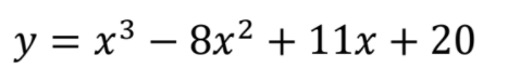
What is the y-intercept of the polynomial?
What is the y-intercept of the polynomial?
1
What is the y-intercept of the polynomial?
What is the y-intercept of the polynomial?
1
Use synthetic division to find the quotient and the remainder, if there is one.
Use synthetic division to find the quotient and the remainder, if there is one.
1
Use synthetic division to find the quotient and the remainder, if there is one.
Use synthetic division to find the quotient and the remainder, if there is one.
1
Write the polynomial below in factored form, given that (x-1) is a factor.
Write the polynomial below in factored form, given that (x-1) is a factor.
1
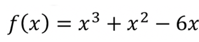
Find the zeros.
Find the zeros.
1
Is (x+4) a factor of the polynomial below?
Is (x+4) a factor of the polynomial below?
1
Write the polynomial in factored form and graph it.
Show clear points at the x and y intercepts.
Write the polynomial in factored form and graph it.
Show clear points at the x and y intercepts.
1
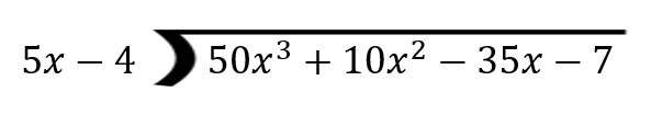
Divide and find the quotient.
Divide and find the quotient.
1
Divide and find the quotient.
Divide and find the quotient.
1
Identify the transformations and graph. Your curve must include 3 clear points.
Identify the transformations and graph. Your curve must include 3 clear points.