Log in
Sign up for FREE
arrow_back
Library

HW Factor Polynomials

star
star
star
star
star
Last updated almost 3 years ago
30 questions
1
1
1
1
1
1
1
1
1
1
1
1
1
1
1
1
1
1
1
1
1
1
1
1
1
1
1
1
1
1
Question 1
1.

To graph the polynomial below we need to find the end behavior, zeros, and y-intercept.

Based on the degree and leading coefficient, what's the end behavior of this polynomial?

Question 2
2.

Okay now on to zeros...
What are the zeros for this polynomial?

Uh oh! We need to remember how to factor Quadratics and learn how to factor Cubics and Quartics in order to find the zeros and graph them!


Question 3
3.

Factor.

Question 4
4.

Factor.

Your answer should be in this format: 2(____)(____)

Question 5
5.

Factor.

Question 6
6.

Factor.

Question 7
7.

Factor.

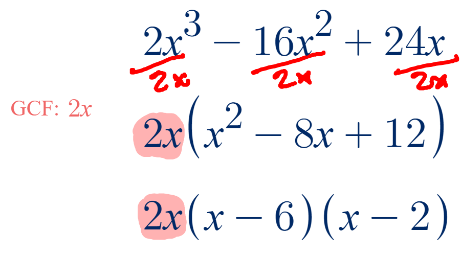
What if the GCF is a variable? This is how we can factor some CUBIC functions. Still keep the GCF infront of your answer like this:

Question 8
8.

Factor.

Your answer should be in this format: x(____)(____)

Question 9
9.

Factor.

Question 10
10.

Factor.
OoOoOo a Quartic!
The GCF isn't just one x anymore...

Question 11
11.

Factor.

Question 12
12.

Factor.

Is that degree FIVE?!

What if the GCF is a number AND variable?


Can you do that??

Question 13
13.

Factor.

Question 14
14.

Factor.

Question 15
15.

Factor.
OoOoOo another Quartic!

Question 16
16.

Factor.

So you think you're a pro at factoring trinomials?? What if you CAN'T divide out a GCF?!

Hint: Guess & Check

CLICK HERE to watch a 3 minute example.

Question 17
17.

Factor.

Question 18
18.

Factor.

You may also see some Quartic trinomials where you CAN'T factor out a variable. However, these will be in "Quadratic form" like this:



Question 19
19.

Factor.

Question 20
20.

Factor.

Question 21
21.

Factor.
Always check for a GCF first!

If you need to factor a BINOMIAL (2 terms) check to see if you can use Difference of Squares. You can only use this method if you have a perfect square minus a perfect square.

Recall which numbers are perfect squares:

1,4,9,16,25,36,49,64,81,100,121,144..

Look at these examples and/or click here to watch a 2 minute example.



Question 22
22.

Factor.

Question 23
23.

Factor.

Question 24
24.

Factor.

Sometimes we can factor difference of squares TWICE or after another factoring method. Check out these examples:


Notice how you can only use difference of squares with negative parentheses.

Question 25
25.

Factor completely.

Question 26
26.

Factor completely.

Question 27
27.

Factor completely.

*divide out GCF first

Question 28
28.

Factor completely.

*divide out GCF first

Question 29
29.

Remember for #1 we just wanted to graph this polynomial?!

Well now we know how to factor it to find the zeros!


Factor:

*divide out GCF first

Question 30
30.

Use your answer for #29 to find ALL the zeros. Then sketch the graph!
(Recall the end behavior from #1 and find the y-intercept to help you graph)
8
-7
7
-8
1
0