Log in
Sign up for FREE
arrow_back
Library

Advanced Unit 2 Summative Assessment 21-22

star
star
star
star
star
Last updated over 2 years ago
17 questions
3
3
3
3
3
3
1
3
3
3
3
3
3
3
3
3
1
Ready? You will have a class period to complete this assessment.
Need Support? Use the go-guardian chat feature.
Recall the district's academic integrity policy!  If caught cheating you will not have the option of re-assessing.
You may use a calculator. https://www.desmos.com/scientific
Question 1
1.

Which graph represents a proportional relationship?

Multiple Choice: Select the graph that represents a proportional relationship.
Show your work box: Explain your thinking in words. Use the text tool.

Question 2
2.

The graph shows the cost C in dollars of w pounds of blueberries, a proportional relationship.

True or False: 1 pound of blueberries costs $2.75.

Multiple Choice: Select True or False?
Show your work box: Justify your choice (work or words).

Question 3
3.

The graph shows the cost C in dollars of w pounds of blueberries, a proportional relationship.

True or False: 2.75 pounds of blueberries cost $1.

Multiple Choice: Select True or False?
Show your work box: Justify your choice (work or words).

Question 4
4.

The graph shows the cost C in dollars of w pounds of blueberries, a proportional relationship.

True or False: 5 pounds of blueberries cost $15.50.

Multiple Choice: Select True or False?
Show your work box: Justify your choice (work or words).

Question 5
5.

The graph shows the cost C in dollars of w pounds of blueberries, a proportional relationship.

True or False: 12 pounds of blueberries cost $33.

Multiple Choice: Select True or False?
Show your work box: Justify your choice (work or words).

Question 6
6.

The graph shows the cost C in dollars of w pounds of blueberries, a proportional relationship.

True or False: The point (3, 9) is on this graph of the proportional relationship.

Multiple Choice: Select True or False?
Show your work box: Justify your choice (work or words).

Question 7
7.

1) Stand up straight, close your eyes, and light "your sparkler".
2) Write your name as high as you can in the air (tiptoes and both arms up)
3) Lower your arms as it goes out while you exhale and open your eyes.

Pick the choice that fits you the most.

Question 8
8.

Andre rode his bike at a constant speed. He rode 1 mile in 5 minutes. Which equation represents the amount of time t (in minutes) that it takes him to ride a distance of d miles?

Multiple Choice: Select the correct equation.
Show your work box: Justify your choice (work or words).

Question 9
9.

The equation that relates temperature measured in degrees Celsius, C, to degrees Fahrenheit, F is
True or false: This equation represents a proportional relationship between F and C.

Multiple Choice: Select True or False?
Show your work box: Justify your choice (work or words).

Question 10
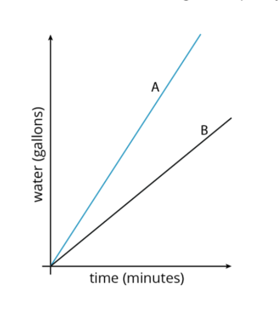
10.

The two lines represent the amount of water, over time, in two tanks that are the same size. Which container is filling more quickly? Explain how you know in the show work box.

Multiple Choice: Select A or B.
Show your work box: Justify your choice (work or words).

Question 11
11.

The table shows the weights of apples at a grocery store.

Show your work box: Complete the table so that there is a proportional relationship between the number of apples and their weight.

Question 12
12.

A recipe for salad dressing calls for 3 tablespoons of fat for every 2 tablespoons of vinegar. The line represents the relationship between the amount of fat and the amount of vinegar needed to make salad dressing according to this recipe. The point (1, 1.5) is on the line.

Show your work box: Label the axes appropriately. (Use fat in tbsp and vinegar in tbsp.)

Question 13
13.

A recipe for salad dressing calls for 3 tablespoons of fat for every 2 tablespoons of vinegar. The line represents the relationship between the amount of fat and the amount of vinegar needed to make salad dressing according to this recipe. The point (1, 1.5) is on the line.

Answer Box: Explain the meaning of the point (1, 1.5) in terms of the situation.

Show your work box: Optional

Question 14
14.

A recipe for salad dressing calls for 3 tablespoons of fat for every 2 tablespoons of vinegar. The line represents the relationship between the amount of fat and the amount of vinegar needed to make salad dressing according to this recipe. The point (1, 1.5) is on the line.

Answer Box: Write an equation that represents the proportional relationship between fat, f, and vinegar, v.

Show your work box: Optional

Question 15
15.

A recipe for salad dressing calls for 3 tablespoons of fat for every 2 tablespoons of vinegar. The line represents the relationship between the amount of fat and the amount of vinegar needed to make salad dressing according to this recipe. The point (1, 1.5) is on the line.

Answer box: How many tablespoons of fat are needed for 5 tablespoons of vinegar?

Show your work box: Show work

Question 16
16.

A recipe for salad dressing calls for 3 tablespoons of fat for every 2 tablespoons of vinegar. The line represents the relationship between the amount of fat and the amount of vinegar needed to make salad dressing according to this recipe. The point (1, 1.5) is on the line.

Answer box: How many tablespoons of vinegar are needed for 9 tablespoons of fat?

Show your work box: Show work

Question 17
17.

Challenge!

Mike can bike 24 miles in 1 hour.
Stephanie can bike 24 miles in 1 hour 15 minutes.
Mike and Stephanie enter a 60-mile bike race.
They both race at a constant speed.

Answer Box: How far back (in distance) is Stephanie when Mike finishes his race?

Show your work box: Show work.

B
C
D