Log in
Sign up for FREE
arrow_back
Library
11/29 Factor Review
By Marissa Considine
star
star
star
star
star
Share
share
Last updated almost 3 years ago
14 questions
Add this activity
1
1
1
1
1
1
1
1
1
1
1
1
1
1
Question 1
1.
Divide out a GCF first!
Question 2
2.
Question 3
3.
Question 4
4.
No GCF because there's not a variable in the last term!
Question 5
5.
Question 6
6.
Question 7
7.
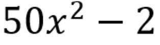
Two terms and looks like difference of squares!
No GCF!
Question 8
8.
Divide out a GCF first!
Question 9
9.
Question 10
10.
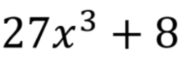
No GCF, looks like sum of cubes!
Question 11
11.
Question 12
12.
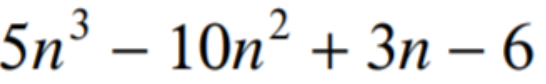
4 terms! That means we need to factor by grouping.
Question 13
13.
Question 14
14.