Log in
Sign up for FREE
arrow_back
Library
MATH Order of Operations (Lesson 1)
By Suzanne Leibrock
star
star
star
star
star
Share
share
Last updated almost 4 years ago
5 questions
Add this activity
Watch the video.
Show your work.
Write the answer in the blank.
1 point
1
Question 1
1.
_______
visibility
View drawing
1 point
1
Question 2
2.
_______
visibility
View drawing
1 point
1
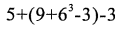
Question 3
3.
_______
visibility
View drawing
1 point
1
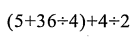
Question 4
4.
_______
visibility
View drawing
1 point
1
Question 5
5.
_______
visibility
View drawing