Lipids Quiz
star
star
star
star
star
Last updated almost 2 years ago
9 questions
Required
1
What are the main functions of lipids?
What are the main functions of lipids?
Required
1
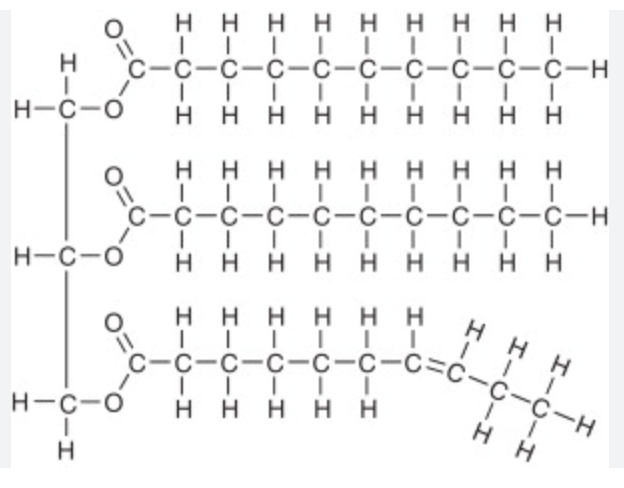
Referring to the diagrams above, the top structure is referred to as a _______________, while the bottom structure is a _________________.
Referring to the diagrams above, the top structure is referred to as a _______________, while the bottom structure is a _________________.
Required
1
The structure shown below is an example of a:
The structure shown below is an example of a:
Required
3
Match the following... there is one image for each type of lipid!
Match the following... there is one image for each type of lipid!
| Draggable item | arrow_right_alt | Corresponding Item |
|---|---|---|
All single bonds in the 3 fatty acids | arrow_right_alt | unsaturated triglyceride (oil) |
One of the fatty acids has a double bond in it which forms a bend/kink in the chain | arrow_right_alt | saturated triglyceride (fat) |
molecule that has water-loving and water-hating parts | arrow_right_alt | phospholipid |
Required
14
Drag and Drop
Drag and Drop
- found mostly in plant-based foods & some fish
- found in most animal food products
- man-made versions that can increase muscle mass
- molecule with both hydrophobic and hydrophilic areas
- unhealthiest fat - created by food industry - food industry is now banned from using
- healthiest fat - should try to include in your diet as much as possible
- molecule that is used to build cell membranes
- lipid that prescribed as a drug can help reduce inflammation and help conditions such as asthma, allergies and autoimmune diseases
- Saturated Fat (triglyceride)
- Unsaturated Fat (triglyceride)
- Phospholipids
- Steroids
- Trans Fat
1
Which of these shows the correct way phospholipids organize themselves when placed in water (and to make a cell membrane)?
Which of these shows the correct way phospholipids organize themselves when placed in water (and to make a cell membrane)?
Required
5
Describe the structure (how it is made) and function (its job) of triglycerides (fats/oils)
Describe the structure (how it is made) and function (its job) of triglycerides (fats/oils)
Required
5
Describe the structure (how it is made) and function (its job) of phospholipids
Describe the structure (how it is made) and function (its job) of phospholipids
Required
5
Describe the structure (how it is made) and function (its job) of steroids
Describe the structure (how it is made) and function (its job) of steroids