Quiz 6-1: Radicals and Radical Exponents
star
star
star
star
star
Last updated almost 3 years ago
9 questions
Note from the author:
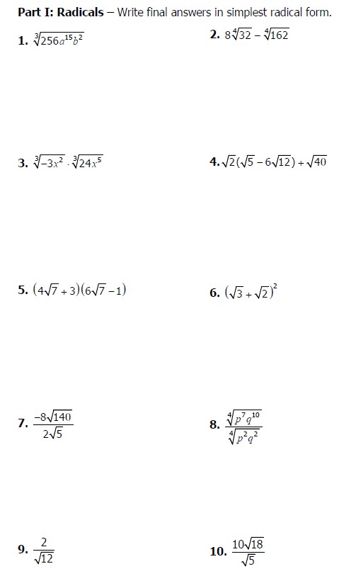
Part 1: Radicals - Do 4 of the following 10 questions
Write final answers in the simplest radical form:
- all perfect roots are taken out of the radical (variable base exponenents are smaller than the index)
- no radicals in the denominator
- negatives taken out of the radicand
Part 1: Radicals - Do 4 of the following 10 questions
Write final answers in the simplest radical form:
- all perfect roots are taken out of the radical (variable base exponenents are smaller than the index)
- no radicals in the denominator
- negatives taken out of the radicand

3
Selection A: #1:
Selection A: #1:
3
Selection A: #2:
Selection A: #2:
3
Selection A: #3
Selection A: #3
3
Selection A: #4:
Selection A: #4:
3
Selection A: #5:
Selection A: #5:

3
Selection B #1:
Selection B #1:
3
Selection B #2:
Selection B #2:
3
Selection B #3:
Selection B #3:
3
BONUS:
BONUS: