Log in
Sign up for FREE
arrow_back
Library

Solve Systems of Equations by Graphing: Notes & Exercises

star
star
star
star
star
Last updated over 4 years ago
13 questions
Note from the author:
Required
2
Required
4
Required
4
Required
4
Students view a pre-recorded lesson which covers an introduction of systems of equations, checking whether points are solutions to a system, and how to solve systems of equations by graphing them. The video include embedded questions. The video lesson is followed by additional practice to demonstrate student understanding.

Worksheet 4.1 (#2): Notes & Exercises

Solve Systems of Equations by Graphing

Question 1
00:38
keyboard_arrow_down
Required
1
Question 2
02:01
keyboard_arrow_down
Required
1
Question 3
03:34
keyboard_arrow_down
Required
1
Question 4
06:28
keyboard_arrow_down
Required
1
Question 5
08:14
keyboard_arrow_down
Required
1
Question 6
08:49
keyboard_arrow_down
Required
1
Question 7
11:26
keyboard_arrow_down
Required
1
Question 8
20:36
keyboard_arrow_down
Required
1
Question 9
22:39
keyboard_arrow_down
Required
1
Question 10
10.


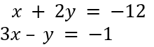
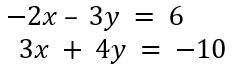
Solve Systems of Equations by Graphing


Graph each system of equations in the space provided.

Then, type your final answer in the answer box.
Remember: Answers should be written as ordered pairs (x,y).

You must show work.
Question 11
11.

Question 12
12.

Question 13
13.

Question 1
1.

In your own words, describe a system.

Question 2
2.

How did we check whether or not our answer was correct?

Question 3
3.

Why must we check whether the point is a solution to all equations in the system?

Question 4
4.

Question 5
5.

Question 6
6.

What does the graph of an equation represent?

Question 7
7.

What is the solution to the system?

Question 8
8.

Take a moment to graph each equation in your note packet. What is the solution to the system?

Question 9
9.

Detemine whether the point ( -6, 2) is a solution to the given system of equations.

Point ( -6, 2) is a solution to the system.
Point ( -6, 2) is not a solution to the system.
Is point (2, 5) a solution to the system? Show your work to support your answer.

You may show the work in your note packet, then take a picture for the Formative. Alternatively, you can ink your work directly into the space provided.
Yes, point (2, 5) is a solution to the system.
No, point (2, 5) is not a solution to the system.
On a scale of 1 - 5, rate your understanding of determining whether a point is a solution to a system of equations.

If you are struggling, please take a moment to provide more detail in the Show Your Work section.
5 - I got this!
4
3
2
1 - Help me, please!
On a scale of 1 - 5, rate your understanding of determining whether a point is a solution to a system of equations.

If you are struggling, please take a moment to provide more detail in the Show Your Work section.
5 - I got this!
4
3
2
1 - Help me, please!