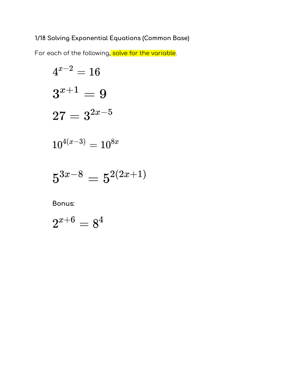
1/18 Solving Exponential Equations (Common Base)
star
star
star
star
star
Last updated almost 4 years ago
6 questions

Required
1
Solve for the variable.
Solve for the variable.
Required
1
Solve for the variable.
Solve for the variable.
Required
1
Solve for the variable.
Solve for the variable.
Required
1
Solve for the variable.
Solve for the variable.
Required
1
Solve for the variable.
Solve for the variable.
2
Solve for the variable.
Solve for the variable.