Quiz 5-1: Solving Systems of Equations
star
star
star
star
star
Last updated almost 3 years ago
6 questions
2
When we solve a system of equations, what are we trying to find? There are 2 correct answers.
When we solve a system of equations, what are we trying to find? There are 2 correct answers.
2
What is the solution to this system of equations?
What is the solution to this system of equations?
3
Solve the system of equations below algebraically. y=5x+20y=-3x+4
Show your answer is in (x,y) form. Show your steps for part marks.
Solve the system of equations below algebraically.
y=5x+20
y=-3x+4
Show your answer is in (x,y) form. Show your steps for part marks.
3
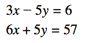
Solve the system of equations algebraically.
Show your answer is in (x,y) form. Show your steps for part marks.
Solve the system of equations algebraically.
Show your answer is in (x,y) form. Show your steps for part marks.
3
Explain why the system of equations below will not have a solution. Give one reason that you are sure of your answer.y = \frac{6}{3}x+36y=2x-5
You may type your explanation and/or show your work, but be sure to be very clear in your explanation.
Explain why the system of equations below will not have a solution. Give one reason that you are sure of your answer.
y = \frac{6}{3}x+36
y=2x-5
You may type your explanation and/or show your work, but be sure to be very clear in your explanation.
3
Solve the system of equations by graphing.-3x+4y=8y=-\frac{1}{2}x-3
Solve the system of equations by graphing.
-3x+4y=8
y=-\frac{1}{2}x-3