Multiple Choice: How Long Does Each Phase Last
star
star
star
star
star
Last updated over 1 year ago
31 questions

1
What are the three stages of the cell cycle?
What are the three stages of the cell cycle?
1
During what stage of the cell cycle is DNA replicated?
During what stage of the cell cycle is DNA replicated?
1
How many cells are made at the end of mitosis?
How many cells are made at the end of mitosis?

1
Identify this stage
Identify this stage
1
Identify this stage
Identify this stage
1
Identify this stage
Identify this stage
1
Identify this stage
Identify this stage
1
Identify this stage
Identify this stage
1
Identify this stage
Identify this stage
1
Identify this stage
Identify this stage
1
Identify this stage
Identify this stage

0
Identify this stage
Identify this stage
1
Idenify the stage
Idenify the stage
1
Identify the stage
Identify the stage
1
Identify this stage
Identify this stage
1
Identify this stage
Identify this stage
1
Identify this stage of
Identify this stage of
1
Identify the stage
Identify the stage
1
Identify the stage
Identify the stage

1
What happens during interphase?
What happens during interphase?
1
What happens during prophase?
What happens during prophase?
1
What happens during metaphase?
What happens during metaphase?
1
What happens during anaphase?
What happens during anaphase?
1
What happens during telophase?
What happens during telophase?
1
Which stage was observed the most according to the total number of cells in each phase.
Which stage was observed the most according to the total number of cells in each phase.

1
Which process is directly responsible for the formation of new root cells as a plant grows larger?
Which process is directly responsible for the formation of new root cells as a plant grows larger?
1
A starfish cell has 24 chromosomes. The starfish cell undergoes mitosis. How many chromosomes will be present in the daughter cells?
A starfish cell has 24 chromosomes. The starfish cell undergoes mitosis. How many chromosomes will be present in the daughter cells?
1
A cell with 10 chromosomes undergoes mitosis, how many chromosomes will be in the resulting daughter cells?
A cell with 10 chromosomes undergoes mitosis, how many chromosomes will be in the resulting daughter cells?
1
The diagram shows different stages in a plant cell cycle. Which set of number lists the diagrams in order in which the plant undergoes mitosis?
The diagram shows different stages in a plant cell cycle. Which set of number lists the diagrams in order in which the plant undergoes mitosis?
1
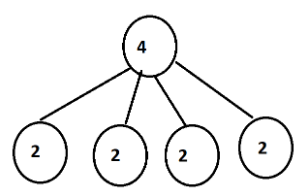
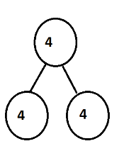
A cell has 4 chromosomes. Indicate which picture correctly shows the number of cells produced during mitosis.
A cell has 4 chromosomes. Indicate which picture correctly shows the number of cells produced during mitosis.
1
Which of the following is a correct statement about the events of the cell cycle?
Which of the following is a correct statement about the events of the cell cycle?
