Log in
Sign up for FREE
arrow_back
Library

Solving Systems using Elimination

star
star
star
star
star
Last updated almost 4 years ago
17 questions
1
A.4.d
1
A.4.d
1
A.4.d
1
A.4.d
1
A.4.d
1
A.4.d
1
A.4.e
1
A.4.e
1
A.4.e
1
A.4.e
1
A.4.e
1
A.4.e
1
A.4.e
1
A.4.d
1
A.4.d
1
A.4.d
1
A.4.d
Solve each system using elimination:
Question 1
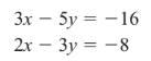
1.

Question 2
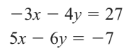
2.

Question 3
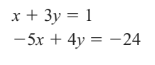
3.

Question 4
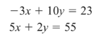
4.

Question 5
5.

Question 6
6.

A rental company charges a flat fee of x dollars for a floor sander rental plus y dollars per hour of the rental. One customer rents a floor sander for 4 hours and pays $63. Another customer rents a floor sander for 6 hours and pays $87.
Question 7
7.

Find the flat fee:

Question 8
8.

Find the cost per hour for the rental:

Question 9
9.

How much would it cost someone to rent a sander for 11 hours?

Two families go to a hockey game. One family purchases two adult tickets and four youth tickets for $28. Another family purchases four adult tickets and five youth tickets for $45.50. Let x represent the cost in dollars of one adult ticket and let y represent the cost in dollars of on youth ticket.
Question 10
10.

Write a linear system that represents this situation.

Question 11
11.

Solve the linear system to find the cost of one adult ticket.

Question 12
12.

Solve the linear system to find the cost of one youth ticket.

Question 13
13.

How much would it cost two adults and five youths to attend the game?

Use elimination to solve the following systems:
Question 14
14.

Question 15
15.

Question 16
16.

Question 17
17.