Lesson 4: The Hidden Costs of Purchasing a Home
star
star
star
star
star
Last updated over 1 year ago
5 questions
1
A future homeowner calculates their monthly mortgage payment to be $1700. If their property taxes are $5000 a year and their home insurance is $1150 a year, how much should they budget per month for mortgage payments, insurance and tax?
A future homeowner calculates their monthly mortgage payment to be $1700. If their property taxes are $5000 a year and their home insurance is $1150 a year, how much should they budget per month for mortgage payments, insurance and tax?
1
A future homeowner is writing up their home offer. In their offer they must identify how much money they would like to include in their earnest money. Typically earnest money is 1% of the house listing price. If the house is going for $325,000, how much money should the buyer put down as their earnest money?
A future homeowner is writing up their home offer. In their offer they must identify how much money they would like to include in their earnest money. Typically earnest money is 1% of the house listing price. If the house is going for $325,000, how much money should the buyer put down as their earnest money?
1
In Washington, typically closing costs are 1.5% of the home’s listing price. If a home is listed for $600,000, how much cash should someone be ready to have on hand in order to put down a 12% down payment, and another 1.5% for closing costs?
In Washington, typically closing costs are 1.5% of the home’s listing price. If a home is listed for $600,000, how much cash should someone be ready to have on hand in order to put down a 12% down payment, and another 1.5% for closing costs?
1
Suppose a buyer is about to buy a home that is $330,000. The buy is planning on putting $50,000 towards the down payment. How much will the buyer have to take out in a mortgage?
Suppose a buyer is about to buy a home that is $330,000. The buy is planning on putting $50,000 towards the down payment. How much will the buyer have to take out in a mortgage?
1
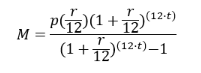
Suppose a buyer is about to buy a home that is $330,000. The buy is planning on putting $50,000 towards the down payment. How much will the monthly payment for the mortgage be if the buyer takes out a 30 year mortgage with a 3.75% interest rate?
(HINT USE THE MONTHLY LOAN FORMULA)(HINT HINT, remember, the p value is how much you need to borrow)
Suppose a buyer is about to buy a home that is $330,000. The buy is planning on putting $50,000 towards the down payment. How much will the monthly payment for the mortgage be if the buyer takes out a 30 year mortgage with a 3.75% interest rate?
(HINT USE THE MONTHLY LOAN FORMULA)
(HINT HINT, remember, the p value is how much you need to borrow)