Log in
Sign up for FREE
arrow_back
Library
Hedgies and Making Pancakes - STAAR Practice
By Wendy Norman
star
star
star
star
star
Share
share
Last updated almost 4 years ago
12 questions
Add this activity
zoom_in
zoom_in
1
2
zoom_in
1 point
1
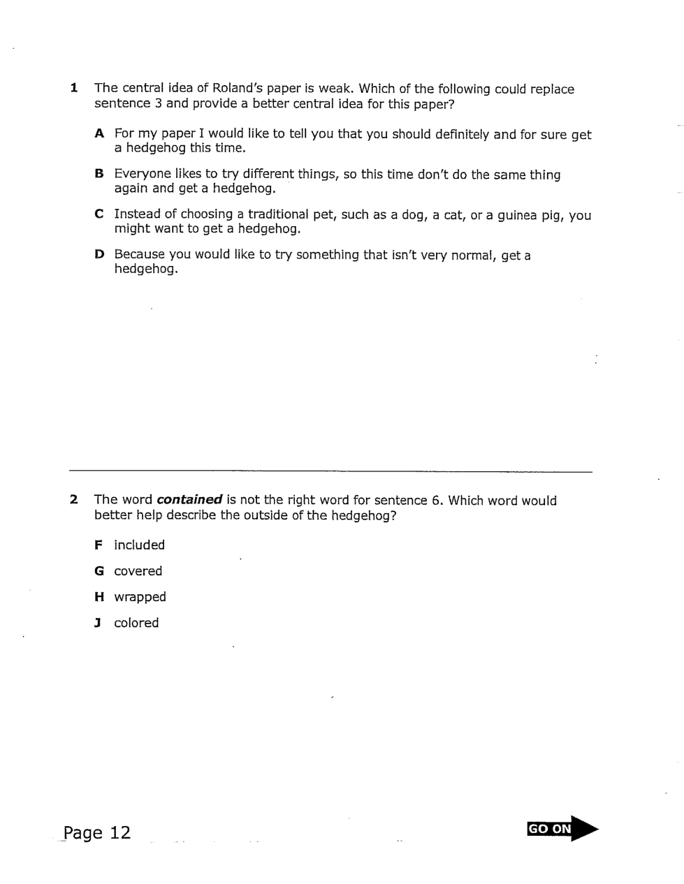
Question 1
1.
A
B
C
D
1 point
1
Question 2
2.
F
G
H
J
3
4
zoom_in
1 point
1
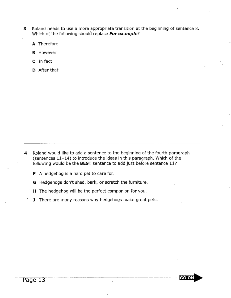
Question 3
3.
A
B
C
D
1 point
1
Question 4
4.
F
G
H
J
5
zoom_in
1 point
1
Question 5
5.
A
B
C
D
zoom_in
zoom_in
6
7
8
zoom_in
1 point
1
Question 6
6.
F
G
H
J
1 point
1
Question 7
7.
A
B
C
D
1 point
1
Question 8
8.
F
G
H
J
9
10
zoom_in
1 point
1
Question 9
9.
A
B
C
D
1 point
1
Question 10
10.
F
G
H
J
11
12
zoom_in
1 point
1
Question 11
11.
A
B
C
D
1 point
1
Question 12
12.
F
G
H
J