Solving by Completing the Square
star
star
star
star
star
Last updated over 3 years ago
6 questions
10
Add the number that would make the expression a perfect square.
Next, write an equivalent expression in factored form. (x^2 = x2)
x2 - 6x _______ → factored form: _______
x2 + 2x _______ → factored form: _______
x2 + 14x _______ → factored form: _______
x2 - 4x _______ → factored form: _______
x2 + 24x _______ → factored form: _______
1
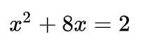
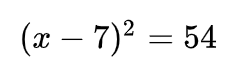
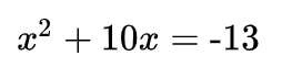
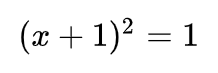
Match each equation to an equivalent equation with a perfect square on one side.
Match each equation to an equivalent equation with a perfect square on one side.
| Draggable item | arrow_right_alt | Corresponding Item |
|---|---|---|
| arrow_right_alt | ||
| arrow_right_alt | ||
| arrow_right_alt | ||
| arrow_right_alt | ||
| arrow_right_alt | ||
| arrow_right_alt |
1
Solve the equation by completing the square. Type the smaller solution into the box below.x2 - 6x + 5 = 12
Solve the equation by completing the square. Type the smaller solution into the box below.
x2 - 6x + 5 = 12
1
Solve the equation by completing the square. Type the smaller solution into the box below.x2 - 2x = 8
Solve the equation by completing the square. Type the smaller solution into the box below.
x2 - 2x = 8
1
Solve the equation by completing the square. Type the smaller solution into the box below.11 = x2 + 4x - 1
Solve the equation by completing the square. Type the smaller solution into the box below.
11 = x2 + 4x - 1
1
Solve the equation by completing the square. Show your work below.x2 - 18x + 60 = -21
Solve the equation by completing the square. Show your work below.
x2 - 18x + 60 = -21