AP Psych Unit 3 Biopsych Vocab Quiz
star
star
star
star
star
Last updated over 3 years ago
73 questions
Note from the author:
I used vocab quizzes in the drive to create one large digital vocab quiz.

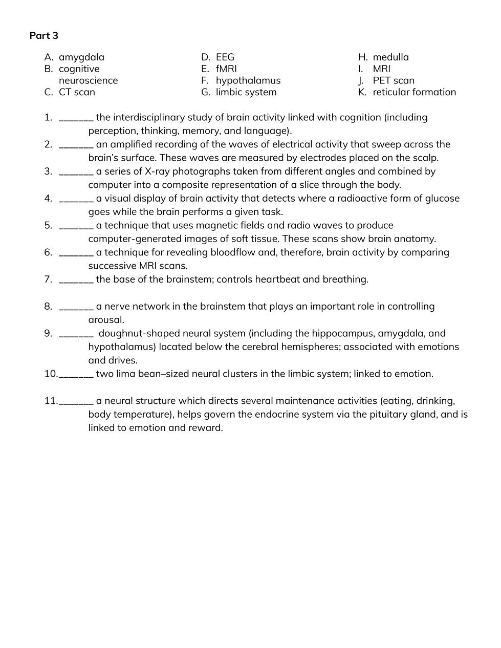
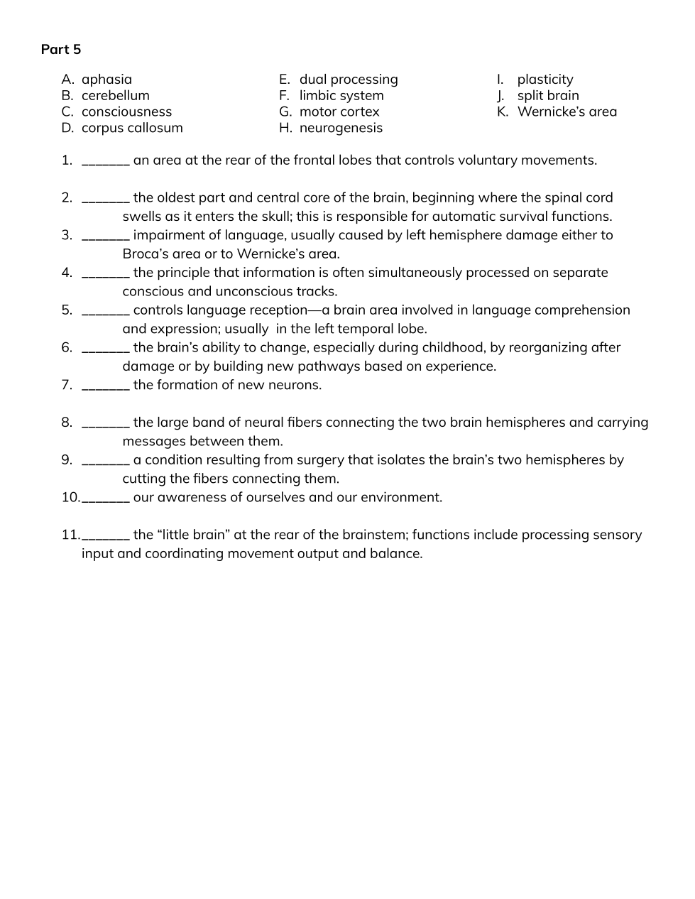
1
_______
1
_______
1
_______
1
_______
1
_______
1
_______
1
_______
1
_______
1
_______
1
_______
1
_______
1
_______
1
_______

1
_______
1
_______
1
_______
1
_______
1
_______
1
_______
1
_______
1
_______
1
_______
1
_______
1
_______
1
_______
1
_______

1
_______
1
_______
1
_______
1
_______
1
_______
1
_______
1
_______
1
_______
1
_______
1
_______
1
_______

1
_______
1
_______
1
_______
1
_______
1
_______
1
_______
1
_______
1
_______
1
_______
1
_______
1
_______

1
_______
1
_______
1
_______
1
_______
1
_______
1
_______
1
_______
1
_______
1
_______
1
_______
1
_______

1
_______
1
_______
1
_______
1
_______
1
_______
1
_______
1
_______
1
_______
1
_______
1
_______
1
_______
1
_______
1
_______
1
_______