Factoring Review for Algebra 1 DCA Units 9-10
star
star
star
star
star
Last updated over 3 years ago
19 questions
1
Find the GCF for the following monomials.
Find the GCF for the following monomials.
1
Find the GCF for the following monomials.
Find the GCF for the following monomials.
1
Find the GCF for the following monomials.
Find the GCF for the following monomials.
1
Find the GCF for the following monomials.
Find the GCF for the following monomials.
1
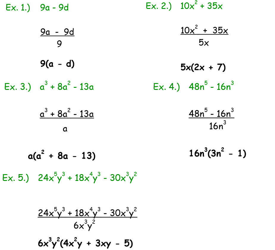
Factor:
Factor:
1
Factor:
Factor:
1
Factor:
Factor:
1
Factor:
Factor:
1
Factor:
Factor:
10
Problem 1 Got It? What is the factored form of the polynomial?
Problem 1 Got It? What is the factored form of the polynomial?

10

10

10
10
Problem 2 Got It? What is the factored form of the expression?
Problem 2 Got It? What is the factored form of the expression?

10
Problem 3 Got It?
Problem 3 Got It?
10
Use Your Vocabulary: Identify the trinomials.
Use Your Vocabulary: Identify the trinomials.
- h³ - 2h + 4
- r² + 3rs - 24s²
- d³ - c²
- g² + g + 1
- a² - b²
- x³ + 7x²y + 5xy² + y³
- Trinomials

10

10

10