Log in
Sign up for FREE
arrow_back
Library
10.1 Singularities TNS
By Faith Draper
star
star
star
star
star
Share
share
Last updated over 2 years ago
7 questions
Add this activity
zoom_in
1 point
1
Question 1
1.
1 point
1
Question 2
2.
visibility
View drawing
1 point
1
Question 3
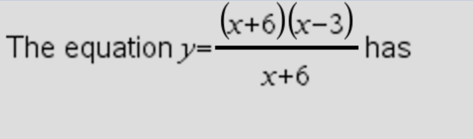
3.
a vertical asymptote at x = -6.
a hole (removable discontinuity) at x = -6.
a vertical asymptote at x = 6.
a hole (removable discontinuity) at x = 6.
continuity for all values of x.
zoom_in
1 point
1
Question 4
4.
one asymptote at x = 3.
a hole (removable discontinuity) at x = 3.
two asymptotes at x=-6 and x=3.
one asymptote at x = -6.
continuity for all values of x.
1 point
1
Question 5
5.
1 point
1
Question 6
6.
1 point
1
Question 7
7.