Spring Interim Retake 21-22
star
star
star
star
star
Last updated over 2 years ago
8 questions
MS-LS4-4
Max Hecht of the American Museum of Natural History investigated natural selection in the five species of Aristellegar geckos shown below over 70 years ago. You will be using his original data to construct an explanation for the interesting phenomenon he discovered in the Jamaican Croaking Gecko in 1951.
All five species of Aristelliger geckos are nocturnal and are able to climb vertical surfaces, like palm trees, using their unique toes. The toes have thin membranes (called lamellae) that are covered in microscopic hairs. These hairs allow the gecko to stick to any vertical surface, even glass!
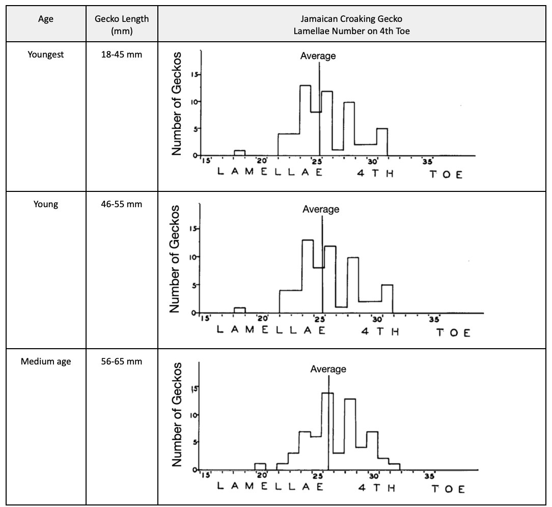
Description: Max Hecht captured 280 individual Jamaican Croaking Gecko and measured both length and 4th toe lamellae number. Since geckos continue to grow throughout their life the longer geckos measured were assumed to be the oldest.
2
Describe the distribution of Jamaican Croaking Gecko lamellae number in geckos with varying age.CFS:- Create a claim regarding the predicted change
- Uses scientific evidence/ reasoning to justify your claim
- Demonstrates how the the trait AND population will be affected based on the adaptive/non-adaptive traits in the environment
Describe the distribution of Jamaican Croaking Gecko lamellae number in geckos with varying age.
CFS:
- Create a claim regarding the predicted change
- Uses scientific evidence/ reasoning to justify your claim
- Demonstrates how the the trait AND population will be affected based on the adaptive/non-adaptive traits in the environment
2
Describe the advantage of the Croaking Gecko with more lamellae on their 4th toe in their environment.CFS:- Create a claim regarding the predicted change
- Uses scientific evidence/ reasoning to justify your claim
- Demonstrates how the the trait AND population will be affected based on the adaptive/non-adaptive traits in the environment
Describe the advantage of the Croaking Gecko with more lamellae on their 4th toe in their environment.
CFS:
- Create a claim regarding the predicted change
- Uses scientific evidence/ reasoning to justify your claim
- Demonstrates how the the trait AND population will be affected based on the adaptive/non-adaptive traits in the environment
2
Explain how you would expect to see the population of Croaking Gecko with more lamellae change over time.CFS:- Create a claim regarding the predicted change
- Uses scientific evidence/ reasoning to justify your claim
- Demonstrates how the the trait AND population will be affected based on the adaptive/non-adaptive traits in the environment
Explain how you would expect to see the population of Croaking Gecko with more lamellae change over time.
CFS:
- Create a claim regarding the predicted change
- Uses scientific evidence/ reasoning to justify your claim
- Demonstrates how the the trait AND population will be affected based on the adaptive/non-adaptive traits in the environment
MS-LS4-6
A survey of African savanna elephants revealed that populations declined by 30% between 2007 and 2014. As of 2014, about 350,000 savanna elephants were living in Africa. Their current rate of decline is 8% per year, primarily due to illegal killing called poaching.
2
African elephant, both males and females, are traditionally born with tusks. What might explain how an adult female elephant has aged without tusks?CFS:- Create a claim regarding the predicted change
- Uses scientific evidence/ reasoning to justify your claim
- Demonstrates how the the trait AND population will be affected based on the adaptive/non-adaptive traits in the environment
African elephant, both males and females, are traditionally born with tusks. What might explain how an adult female elephant has aged without tusks?
CFS:
- Create a claim regarding the predicted change
- Uses scientific evidence/ reasoning to justify your claim
- Demonstrates how the the trait AND population will be affected based on the adaptive/non-adaptive traits in the environment
2
In an environment with high levels of poaching elephants for tusks, explain why the mutation of having no tusks will become more or less common in the population. Justify your prediction.CFS:- Create a claim regarding the predicted change
- Uses scientific evidence/ reasoning to justify your claim
- Demonstrates how the the trait AND population will be affected based on the adaptive/non-adaptive traits in the environment
In an environment with high levels of poaching elephants for tusks, explain why the mutation of having no tusks will become more or less common in the population. Justify your prediction.
CFS:
- Create a claim regarding the predicted change
- Uses scientific evidence/ reasoning to justify your claim
- Demonstrates how the the trait AND population will be affected based on the adaptive/non-adaptive traits in the environment
- PS2-1
Four friends are playing billiards and they are able to make both of the balls move and collide after hitting just one of the balls.
1
The two friends came up with several ideas on why both balls are able to move. Which one is the most correct explanation?
The two friends came up with several ideas on why both balls are able to move. Which one is the most correct explanation?
PS3-2
2
Both Electromagnet System 1 and Electromagnet System 2 are held in place before they are released. Before they are released, which system has more PE? Explain.- CFS:
- Describes the energy in a single magnet or a magnetic system
- Accurately describes the relationship between changing variables (distance; attract/repel) in a system and magnetic PE’
HINT: are the magnets attracting or repelling
Both Electromagnet System 1 and Electromagnet System 2 are held in place before they are released. Before they are released, which system has more PE? Explain.
- CFS:
- Describes the energy in a single magnet or a magnetic system
- Accurately describes the relationship between changing variables (distance; attract/repel) in a system and magnetic PE’
HINT: are the magnets attracting or repelling
PS2-3
2
Identify the arrangement in which the magnets will experience the most repulsive magnetic force. Explain your reasoning.
Identify the arrangement in which the magnets will experience the most repulsive magnetic force. Explain your reasoning.