Log in
Sign up for FREE
arrow_back
Library

U6L4 Exit Ticket

star
star
star
star
star
Last updated almost 4 years ago
1 question
Note from the author:
AF Navigator Math Grade 6
Unit 6 Lesson 4
Read the question(s) carefully. Show work on your guided notes and record your score if one is given to you. Do your best!πŸ˜€
Required
2
6.EE.2.a
Question 1
1.

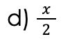
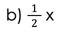
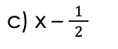
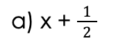
2. Which expression(s) below represent the phrase: β€œone half of a number.” Select all that apply.