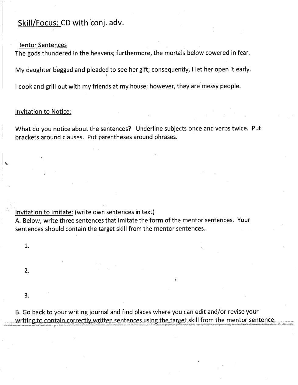
Conjunctive Adverbs in Sentences
star
star
star
star
star
Last updated over 3 years ago
7 questions

Required
1
What do you notice about the sentences? Please answer in 2-3 complete sentences with some details.
What do you notice about the sentences? Please answer in 2-3 complete sentences with some details.
Required
1
What are the subjects (2) in the following sentence?: "The gods thundered in the heavens; furthermore, the mortals below cowered in fear."
What are the subjects (2) in the following sentence?: "The gods thundered in the heavens; furthermore, the mortals below cowered in fear."
Required
1
What are the predicates/verbs (2) in the following sentence?: "The gods thundered in the heavens; furthermore, the mortals below cowered in fear."
What are the predicates/verbs (2) in the following sentence?: "The gods thundered in the heavens; furthermore, the mortals below cowered in fear."
Required
1
Write a sentence that imitates/copies the mentor sentences from above.
Write a sentence that imitates/copies the mentor sentences from above.
Required
1
Write a sentence that imitates/copies the mentor sentences from above.
Write a sentence that imitates/copies the mentor sentences from above.
Required
1
Write a sentence that imitates/copies the mentor sentences from above.
Write a sentence that imitates/copies the mentor sentences from above.

Required
1
Prompt: You got in trouble today at school. Tell the story of what happened and how you will try to smooth it over with your parents at home. Use at least 3 conjunctive adverbs to imitate the mentor sentences from above.
Prompt: You got in trouble today at school. Tell the story of what happened and how you will try to smooth it over with your parents at home. Use at least 3 conjunctive adverbs to imitate the mentor sentences from above.