U6L7 Exit Ticket
star
star
star
star
star
Last updated over 3 years ago
1 question
Note from the author:
AF Navigator Math Grade 6
Unit 6 Lesson 7
Read the question(s) carefully. Show work on your guided notes and record your score if one is given to you. Do your best!😀
Required
2
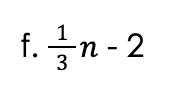
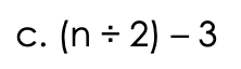
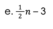
Chris had a bag of n jelly beans. His sister Joan’s bag contained three less than half of what he had. Which expression(s) shows how many jelly beans are in Joan’s bag? Select all that apply.
Chris had a bag of n jelly beans. His sister Joan’s bag contained three less than half of what he had. Which expression(s) shows how many jelly beans are in Joan’s bag? Select all that apply.