Log in
Sign up for FREE
arrow_back
Library
ADV2: Equivalence
By WAYNE DE ALMEIDA
star
star
star
star
star
Share
share
Last updated almost 4 years ago
22 questions
Add this activity
1
1
1
1
1
1
1
1
1
1
1
1
1
1
1
1
1
1
1
1
1
1
Question 1
1.
What value of x makes the equation true?
5x - 14 = 8x + 4
x = 6
x = -6
x = -18/13
x = 10/3
Question 2
2.
Which function is equivalent to
Question 3
3.
Which function is equivalent to
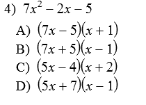
Question 4
4.
Which of the following is equivalent
Question 5
5.
Which of the following is equivalent to
(n - 10)(6n + 1)
(4n - 5)(n - 3)
(n - 5)(4n - 3)
(n - 5)(4n + 3)
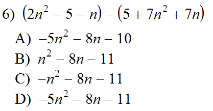
Question 6
6.
What is the solution to
-2
4
2
-4
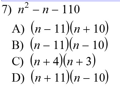
Question 7
7.
What value of x makes the equation true?
-5
1/5
5
-1/5
Question 8
8.
Which of the following is equivalent to
(2n - 5)(n + 10)
(2n - 11)(n - 5)
(n + 5)(n - 5)
(2n + 5)(n - 10)
Question 9
9.
Which expression is equivalent to
Question 10
10.
Which expression is equivalent to
Question 11
11.
Which of the following is equivalent to
(3x + 4)(x - 3)
(3x - 4)(x + 3)
(3x + 3)(x - 4)
(3x - 3)(x + 4)
Question 12
12.
Which of the following is equivalent to
A
B
C
D
Question 13
13.
Which of the following is equivalent to
A
B
C
D
Question 14
14.
Which of the following is equivalent to
A
B
C
D
Question 15
15.
F
G
H
J
Question 16
16.
F
G
H
J
Question 17
17.
A
B
C
D
Question 18
18.
F
G
H
J
Question 19
19.
F
G
H
J
Question 20
20.
A
B
C
D
Question 21
21.
F
G
H
J
Question 22
22.
F
G
H
J