Log in
Sign up for FREE
arrow_back
Library

Unit 4 Review Part 2

star
star
star
star
star
Last updated about 3 years ago
22 questions
Note from the author:
Springboard Algebra 1 Unit 4
Untitled Section
Required
2
Required
2
Required
2
Required
1
Required
1
Required
1
Required
1
Required
1
Required
1
Required
1
Required
1
Required
1
Required
1
Below is a selection of types of questions you could see on the LEAP 2025 test for Algebra I. Be sure to read the directions for each set of questions and the tips/hints provided to get you through.
This section of Unit 4 will focus on polynomials.
POLYNOMIALS

Before we begin any work associated with polynomials, we need to understand a few key vocabulary to help understand them better.

A polynomial is a single term or the sum of two or more terms with whole-number powers.

A term is a number, variable, or the product of a number and variable.

A coefficient is the numeric factor of a term.

A constant term is a term that contains only a number.

The degree of a polynomial is the greatest degree (exponent) of any term in the polynomial.

The standard form of a polynomial is when the terms are written in descending order (from biggest exponent to smallest exponent).

On the left side you will see an image that visually describes some of these definitions.
Question 1
1.

Determine if the following are in standard form (descending order) or not.

Standard form
Not
Question 2
2.
The polynomial
has _______ terms. The leading coefficient is _______ and it has a degree of _______ . The constant term of this polynomial is _______ .
Question 3
3.
The polynomial
has _______ terms. The leading coefficent is _______ and has a degree of _______ . The constant term of this polynomial is _______ .
ADDING POLYNOMIALS

When it is time to add polynomials, often times you will be asked to simplify the expressions. When you are adding (or subtracting) polynomials, you will be taking your like terms and combining them together.

Like terms are terms that have the same variables raised to the same powers. For example

3x and 4x are like terms because they have the same variable raised to the same power. When you combine the like terms, you add the coefficients of those variables. So 3x and 4x is 7x.

3x and 4 are not like terms because they do not have the same variable raised to the same power.

*IMPORTANT* When combining like terms, which is just adding and subracting, you DO NOT touch the exponents. You leave them as they are.

When adding (and subracting) polynomials we try to keep it in standard form. The vertical method is a way to help keep things in order so that we can tell what goes where. You also set it up so that your like terms are in columns.

SUBTRACTING POLYNOMIALS

When subtracting polynomials, we will turn it into an addition problem instead. What you do is you change it to addition and then flip the signs of the terms that follow it in parentheses as you can see under the subtraction part. Then you add like normal.
Question 4
4.

Simplify the following. Write answer in standard form.

Question 5
5.

Simplify the following. Write answer in standard form.

Question 6
6.

Simplify the following. Write answer in standard form.

Question 7
7.

Simplify the following. Write answer in standard form.

Question 8
8.

Patty has a rectangular shaped backyard. The length is x + 3 and the width is 3x + 5. What is the perimeter? *hint* the perimeter of a rectangle is 2(length)+2(width).

MULTIPLYING POLYNOMIALS

When multiplying polynomials, I use the box method. The box method is a method in which you make a box with the number of sides depending on the number of terms in each parentheses. For example.
This is two terms times two terms so I make a 2 by 2 box. On the outside, you put the parentheses terms on one side and the other on the other side like this.
After you make your box and put the parentheses, you will multiply the length and width of each box to find the individual areas. This is what you will be multiplying.
Then we multiply to find those areas.
Now that you are done multiplying, you will combine the terms inside the boxes to get your final answer.
and then combine like terms
and that is multiplying polynomials. You will adjust the size of the box depending on how many terms are in each parentheses.
Question 9
9.

Multiply and simplify.

Question 10
10.

Multiply and simplify.

Question 11
11.

Multiply and simplify.

Question 12
12.

Multiply and simplify.

Question 13
13.

Find the area of a rectangle with a length of x + 3 and a width of x + 2.

GCF FACTORING

The beginning of factoring polynomials is gcf factoring. With this method, we factor (divide) out the greatest value we can from each term. For example
Of these two terms, I can break it down into the prime factorization by continuing to divide until I can't anymore.
When looking at this form, I will circle what both have in common.
These are the values I will write outside of the parantheses. What I didn't circle will stay inside the parentheses.
Then simplify whatever can be multiplied back.
so after factoring, our answer is
Required
1
Required
1
1
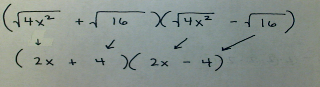
DIFFERENCE OF SQUARES

This is an easy version of factoring a specific type of problem. The only time you can use this method is if you have a subtraction of two terms that are both perfect squares. This means that if I take the square root of each term, I will get a whole number or "whole" variable value. For example...
These are both perfect square terms. So I will use this to help determine the factored form.
So I place the first and second term where it says.
and when you simplify each one...
so the factored form is

A hint I have is that when you factor a difference of squares, both parentheses will have the same values except one will be addition and one will be subtraction.
Required
1
Question 17
17.

Factor this difference of squares.

Required
1
Required
1
Question 19
19.

Factor.

Required
1
Question 20
20.

Factor.

Required
1
Required
1
Question 14
14.

GCF factor

Question 15
15.

GCF factor

Question 16
16.

Claire has a box that has an area of
and one side has a measure of
What is the other side measure?

Question 18
18.

Factor this difference of squares.

FACTORING TRINOMIALS

When factoring trinomials, the method I use is reverse box method. Below will be a step by step guide for factoring
In order to factor a trinomial, we must recognize the standard form which is

I identified a as 2, b as 5 and c as -18. When factoring, the first step is to multiply a times c. When we do this, you will now find factor pairs that multiply to give you that new value.
After listing them, I will select the factor pair that can combine to give me the b term I identified. So if I pick the pair -4 and +9, those will add to give me b.
Now I will rewrite my trinomial into four terms. The b term will be split into the pair we chose.
This is where I will now start my reverse box method. I will create a box ...
and place those values inside.
Now I will work backwards to find the outside of the box. I will GCF factor between each set of boxes as shown...
and then repeat the process for the other side...
The values on the outside of the box will be the factored form.
So the factored form of
is
Question 21
21.

Factor.

Question 22
22.

Factor.