Log in
Sign up for FREE
arrow_back
Library

STAAR Prep 8- y=mx+b

star
star
star
star
star
Last updated almost 4 years ago
18 questions
Required
1
Required
1
Required
1
Required
1
Required
1
Required
1
Required
1
Required
1
Required
1
Required
1
Required
1
Required
1
Required
1
Required
1
Required
1
Required
1
Question 1
1.

#1)
A store sells new video games for $55 each. Used videos games sell for $12 each. Jacob is buying 3 new video games and x used games. Which equation cab be used to find y, the total price Jacob must pay in dollars?

Question 2
2.

#2)
A piolet takes a taxi from the airport to a hotel. The taxi driver charges a $2.50 initial charge plus $2.65 per mile. Which equation can be used to find y, the total cost of the trip if xrepresents the number of miles of the trip?

Question 3
3.

#3)
The graph of a linear function is shown on the coordinate grid. What is the slope of the graph of this function in decimal form?

Question 4
4.

#4)
A linear function is represented on the coordinate grid. What is the y-intercept of the graph of this function?

Question 5
5.

#5)
Which equation best represents the relationship between x and y in the graph?

Question 6
6.

#6)
Which equation best represents the relationship between x and y in the graph?

Question 7
7.

#7
Which equation represents the relationship between x and y in the graph?

Question 8
8.

#8)
Which equation represents the relationship between x and y in the graph?

Question 9
9.

#9)
Which table contains only values that satisfy the equation y=0.5x+14

#10)
The table shows the number of gallons of gasoline in a car’s tank after the car has been driven x miles. When the data is graphed on a coordinate grid, the points all lie on the same line.

Required
1
Question 10
10.

What is the Slope (in decimal form)?

Required
1
Question 11
11.

What is the Y-Intercept?

Question 12
12.

#11)
Which equation represents the relationship shown in the table?

Question 13
13.

#12)
Which relationship represents the relationship shown in the table?

Question 14
14.

#13)
Which equation represents the function that passes through the points (-1, -1/4) and (1, -3/4)?

Question 15
15.

#14)
Two equations are graphed on the coordinate grid. Which ordered pair represents a solution to both equations?

Question 16
16.

#15)
Frank and Erica are selling ribbons to raise money for the football team. The graph shows the linear relationship between the number of ribbons each of them has left to sell and the number of days they have been selling ribbons. On which day does it appear that Frank and Erica will have the same number of ribbons left to sell?

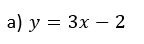
Question 17
17.

#16)

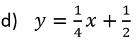
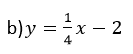
Question 18
18.

#17)

D) y=1/3x-1
D) Day 18