xyz Linear equations & Systems of Equations 4/25/22
star
star
star
star
star
Last updated over 3 years ago
20 questions
1 point
1
Question 1
1.
1 point
1
Question 2
2.
1 point
1
Question 3
3.
1 point
1
Question 4
4.
1 point
1
Question 5
5.
1 point
1
Question 6
6.
1 point
1
Question 7
7.
1 point
1
Question 8
8.
0 points
0
Question 9
9.
Last year you mowed grass and shoveled snow for 12 houses. You earned $225 per house for mowing lawns and $200 per house for shoveling snow for the year. You earned a total of $2600. Which system of equations could be used to find how many lawns, m, and how many sidewalks, s, you completed?
1 point
1
Question 10
10.
What is the value of x in the solution to the system?
1 point
1
Question 11
11.
What is the value of y in the solution to the system?
1 point
1
Question 12
12.
Monica has $7.25 in her pocket. The money is in quarters and dimes. There are 12 coins in total in her pocket. Which system of equations could be used to find the total number of q, quarters, and d, dimes Monica has?
1 point
1
Question 13
13.
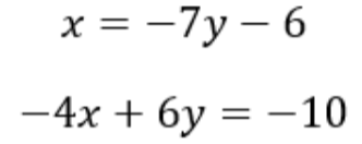
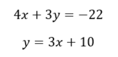
What is the solution to the system?
1 point
1
Question 14
14.
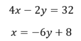
What is the solution to the system?
1 point
1
Question 15
15.
Together, Tracy and Steve have $57. Steve has $3 more than twice as much money as Tracy. Which system of equations could be used to find out how much money Steve and Tracy each have?
1 point
1
Question 16
16.
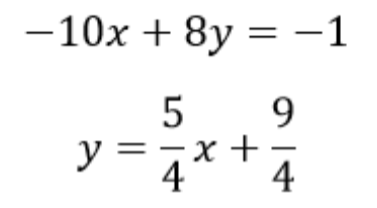
What is the solution to the system?
1 point
1
Question 17
17.
Which graph shows a system of equations that has no solution?
1 point
1
Question 18
18.
There are 34 rectangular blocks in a toy box. The height of each block is either 3 inches or 4 inches. The height of all 34 blocks combined is 117 inches. Which system of equations can be used to find the number of 3-inch blocks, x, and the number of 4-inch blocks, y, that are in the toy box?
1 point
1
Question 19
19.
The table shows the linear relationship between the total number of miles driven on a road trip and the number of hours spent driving.
Based on the table, what was the rate of change of the distance in miles per hour?